Research Abstracts
SY 2007-2008
College of Business and Economics

The Model Employers in the Philippines
51 RFG 3 04
Dr. Divina Edralin
Business Management Department
Human resource management performs an integral and strategic function in managing firms. It is a key management tool since human resources are considered essential in the continued existence and success of any business. It is therefore, not surprising that management continuously invests in the recruiting, training and motivating of its people to develop effective and efficient managers, supervisors, and rank-and-file employees.
This paper contains an in-depth look at those human resource management practices that make a company a model or a good company to work for. This two-year research effort, involving 20 companies listed in the Top 1,000 Corporations and 1,937 employees and management representatives showcases the distinguishing Human Resource Management practices related to recruitment, training and development, performance management, compensation, labor relations, health and safety, and leadership.
The Employee Opinion Survey results showed that the firms were rated very good in their HRM practices.
Based on the overall ranking of the judges across the seven HR practices, GMA Network got the highest ranking (x=2.72), followed by Ayala Land (x=5.00) and Yazaki-Torres (x=6.31). On the other hand, the lowest ranked companies are RFM (x=12.78); SKK Steel (x=13.16); and Fedders Koppel (x=13.66). Categorized by type of industry, Yazaki-Torres got the highest ranking in the manufacturing sector, followed by Unilever Philippines, and San Miguel Foods. In the non-manufacturing group, on the other hand, the highest rates companies are GMA Network; Ayala Land, and Toyota Makati.
The common emerging workplace patterns and best human resource management practices were clustered according to employment experience such as the creation of enabling structures and systems that intentionally enable individual employees and teams to translate the firms larger strategic goals into actual day to day work and achieve corporate goals; leadership such as focusing on the corporate vision-mission-goals and using self-empowering teams; and labor relations like engaging in productive social partnership of labor and management.
College of Computer Studies

Metaphors and the Construction of Knowledge
67 F U 3 06
Dr. Zelinna Cynthia Pablo
Information Technology Department
In this study I examine metaphors on web-based portals, in particular examining their implications on how knowledge is constructed. Using case methods and discourse analytic techniques, I conduct a comparative study of Web-based portals established under a World-Bank project known as the Development Gateway. Drawing from previous work that suggests that three metaphors (expert, market, and community) are significant across portals, I select an “expert” portal and a “community” portal to examine particular ways in which knowledge comes to be constructed. My findings suggests that the expert portal is linked with the view of knowledge as universal, whereas the community portal is linked the view of knowledge as socially constructed. This in turn has implications on which stakeholders have more voice or less voice in the knowledge production process. An expert portal appears to be characterized by tightly controlled processes of knowledge construction wherein participants are limited to a few key players, while a community portal appears to have participative, relatively unstructured processes of knowledge production.
Plagiarism Detector Generator
40 F U 2 06
Dr. Rachel Edita Roxas
Software Technology Department
This study involves the design and implementation of a plagiarism detector generator for OO student programs and performs the lexical and structural similarity measures of OO student programs using Java programs for testing. The system would accept as input the grammar of the programming language. The application would accept one folder per program group as input. Plagiarism styles to be detected by the system include but are not limited to (1) insertion, deletion and modification of comments, (2) changing names of variables, attributes and methods, (3) Changing the ordering of blocks of statements, (4) Changing the formatting of the source code, (5) Extraction of source code to a method, (6) copying the source code as it is.
Testing was done in two parts. The first part uses the RKR algorithm implementation v1.0. The second one uses the verson 2.0 that addresses the inaccuracy of the plagiarism technique EXTRACT. The first part of of the testing uses ten program specifications (labeled as 1, 2, to 10). For each program specification, we considered one original program, five individuals (labeled as A, B, C D and E) implemented one each non-plagiarized independently coded program based on the program specification based on the original program using the five plagiarism styles. The respective percent accuracies in positively identified plagiarized codes for BLOCKS, VARIABLES, COMMENTS, EXTRACT and FORMAT are 78, 100, 100, 36 and 100. From the results, we can infer that some plagiarism techniques can be successfully detected by the RKR-GST pattern matching algorithm such as VARIABLES, COMMENTS and FORMAT which had 100% accuracy. BLOCKS obtained a 78% accuracy, while EXTRACT obtained a mere 36% accuracy. The overall positively identified plagiarized copies obtained 83% accuracy.
From the results, the plagiarized programs that used the extraction method are not easily detected in the Plagiarism Detector 1.0. Version 2.0 was developed, and plagiarized programs that used the extraction method have been detected from 83 to 100% similarity measures with 100% detection. Unfortunately, it also obtained a 37.5% false positives.
College of Education
Comparing Models for Generating a System of Activation and Inhibition of Self-Regulated Learning
27 D U 2 07
Dr. Carlo Magno
Counseling and Educational Psychology Department
The study investigated the effect of activation and negative affect on self-regulation. The activation factors are self-determination, disengagement, initiative, and persistence while negative affect is composed of worry, anxiety, thought suppression, and fear of negative evaluation. Separate measures were used for each factor and administered to 1454 collegiate students. A time-wave design was used where the activation and negative affect factors were administered in the first wave and the self-regulation in the second. It was hypothesized in the study that the effect of negative affect on self-regulation can be moderated by levels of activation factors. Three models were tested using Structural Equations Modeling (SEM) to determine which structure of negative affect and activation best generates self-regulation. The results show that activation and negative affect each differently affect self-regulation, p<.001 (RMSEA=.054, 2=505.43, GFI=.96). Negative affect can increase self-regulation when mediated by activation, p<.001 (RMSEA=.056, 2=527.22, GFI=.96). The effect of negative affect on self-regulation is weak if individuals posses high activation levels, p<.001 (RMSEA=.05, 2=309.64, GFI=.97). The theoretical and educational implications of the findings are discussed.
Towards an Understanding of Spirituality and Perspectives on Teaching of Teachers from Selected Catholic Secondary School in Metro Manila
Dr. Roberto Borromeo
Educational Leadership and Management Department
This study is the second phase of the two-phased study on “Spirituality in the Educational Workplace”. While the first phase focused on the spirituality and spiritual intelligence of administrators (Tanglaw, 2003, Vol. 9, No.2), the current study analyzed the teachers’ spiritual intelligence, their definitions of spirituality and their views of teaching and students. The results showed that the respondents had a relatively high level of spiritual intelligence and spirituality which is manifested in their concept of teaching which focus on service, evangelization and integral formation, and their view of students which emphasizes respect for human dignity.
Exploring Assessment Reform Policy and Implementation in Philippine Public Secondary Education
34 F U 2 04
Dr. Sterling Plata
Department of English and Applied Linguistics
This paper analyses aspects of the assessment reform that started in 2003 in the Philippines by evaluating its policy and its implementation. Documents from the Department of Education pertaining to the reform were reviewed to trace the alignment of pedagogy, assessment, and proficiency in English. In addition, focus group discussions and interviews were also conducted to see how English teachers in rural and urban public secondary schools interpreted the changes mandated to them by the Department of Education. Data collection started in 2003 up to 2007. The study uncovered some factors that might have led to the limited implementation of the assessment reform by the participants in the study.

Language Amotivation and Approaches to Learning English among Filipino College Freshmen
24 F U 2 06
Dr. Rochelle Irene Lucas
Dr. Mildred Rojo-Laurilla
Department of English and Applied Linguistics
The present study explores Filipino college freshmen students’ approaches to learning in relation to amotivation (possible lack of motivation in learning English as a second language) and related experiences in using English outside the language classroom. Adapting Biggs (2001) and Legault et al’s (2006) to evaluate the learning approaches of the students in studying the target language, the researchers surveyed 224 students from different colleges in the university taking the first General Education English course (English one). The results of the study indicate that university freshmen students are neither predominant on either deep approach nor surface approaches to learning. They use both strategies to almost the same extent. In terms of dimensions of amotivation, the results indicated that freshmen students did not exhibit much of the indicators of amotivation implying that they still show interest and are motivated to learn English as a second language. The cohesiveness of their responses to questions on amotivation also indicated that they have more or less the same perceptions of the value of the task, task characteristics, and their beliefs about their abilities and efforts in learning English.

Towards Transformative Teaching and Learning in the College of Education: The Journey
44 F U 3 04
Dr. Auxencia Limjap
Science Education Department
Dr. Remedios Miciano
Dr. Leonisa Mojica
Department of English and Applied Linguistics
To help clarify and concretize the philosophy and practice of transformative teaching/learning for the College of Education faculty, modules on teaching philosophy and learning theories (Module 1), teaching strategy and assessment (Module 2), and classroom management (Module 3) were developed. Piloted on three different afternoons, the modules were each designed as a joint presentation between the researcher (as facilitator) and a resource person. All three modules merited a high evaluation from both the participants and the resource persons.
The main problem in piloting the modules was lack of time. Due to this problem, the assessment module was not carried out as it had been originally designed, and the workshop output (the reflection essays and the pedagogical plans of the participants) were sometimes short and sketchy. Nonetheless, as a whole, the design and piloting of the transformative teaching/learning modules was successful. Recommendations to further improve the content and delivery of the modules were given by the participants and the resource persons.
College of Engineering

Preliminary Evaluation of Biodiesel from Canarium ovatum (Pili) Pulp Oil and Psophocarpus tetragonolobus (Winged bean) Seed Oil
7 F U/C/S 1 05
Dr. Luis F. Razon
Chemical Engineering Department
Biodiesel or fatty acid methyl esters (FAME) derived from triglycerides of vegetable or animal origin has become very attractive because it is biodegradable, it comes from a renewable resource, it is frequently nontoxic and has been commonly accepted to be carbon-neutral. It is easy to manufacture and requires only small changes in the fuel distribution infrastructure as compared to the changes required if alternatives such as hydrogen were pursued. However, some concerns remain about the cost and availability of feedstocks. The paper presents preliminary studies conducted on biodiesel derived from two novel sources of oil: the fruit pulp of Canarium ovatum (pili) and the seed of Psophocarpus tetragonolobus (winged bean). Oils were extracted using hexane and converted to fatty acid methyl esters. To convert the oils to FAME, a combination of acid-catalyzed esterification and base-catalyzed transesterification was found to be necessary after the oils were found to have a free fatty acid content greater than 0.5%. The resulting FAME were found to comply with selected parts of the biodiesel standards (ASTM D6751-02, EN14214 and PNS2020:2003) except for the kinematic viscosity of the FAME from winged bean which was above the maximum limit for the Philippine standard, PNS2020:2003. The study has presented initial results, which indicate that acceptable FAME may be obtained from these two new potential sources of feedstocks. This gives more alternatives to those who want to explore commercial exploitation.


Commercialization of Acidic Geothermal Wells by pH Buffering
05 RP (URCO) 1 SY2002-2003
Dr. Yolanda Brondial
Chemical Engineering Department
The Philippines being part of the “Pacific Ring of Fire” has abundant geothermal energy. However, since a substantial number of drilled wells produced acidic geofluid with high enthalpy and high wellhead pressure, it becomes imperative to research and develop methods/techniques to be able to use these wells for power generation.
A potential pH buffering method for commercializing high-enthalpy acidic geothermal wells was explored in this study to raise the pH of the geofluids to greater than 3.5, a level considered by geothermal reservoir engineers to be non-corrosive to low-carbon steel. The pH buffering was modeled using statistical software with five design factors (pH geofluid, pH buffer, volume buffer, concentration buffer and temperature of solution), and one response factor (pH of resulting solution). The buffer used was ?-chloropropionic acid-Sodium ?-chloropropionate (BCPH-NaBCP). Experiments were conducted according to two different experimental designs with the second using the range of values found more effective from the first design. Experimental laboratory results showed that BCPH-NaBCP could raise the pH to > 3.5 for the first design and equal or greater than 4 for the second design and that the initial pH of geofluid, the pH, concentration and volume of BCPH-NaBCP solution significantly influenced the pH of the final solution. In both designs, the temperature of the solution did not show any significant effect on the buffered pH. It was also found out that for a closer range of conentration as in the second design, there was no significant change in the buffered pH. The best combination of factors in the first design was then used in a bench-scale set-up to investigate the possibility of applying pH buffering at high velocity. Results showed that BCPH-NaBCP was useful for fast buffering and could be used to commercialize acidic wells.
Integrating Affective Requirements in Car Design Methodologies
Ms. Rosemary Seva
Industrial Engineering Department
This study aims to validate a product design model using the concept of pre-purchase affect in a case study of car design in the Philippines. It is hypothesized that car attributes related to form can explain the experience of intense emotion in the car buying process and that this experience as well as good performance of sales agents can independently influence purchase intention. A field study was conducted in car dealerships of four car companies in the Philippines. A total of 133 samples were gathered consisting mostly of expert car buyers. Results of the study indicate that affective responses of consumers are triggered by both product form and function. However, more variables related to product form can explain the intensity of PPA such as shape and dimension. Intense experience of affect triggered a greater chance of purchasing the product. The performance of salesperson in the showroom cannot adequately explain the variation in data although the model is significant. However, helpfulness of the agents is a significant explanatory variable for purchase intention.
A Comparative Analysis Between the Seafood Industries of the Philippines and the Asia Pacific Region Countries
44 S U 3 06
Dr. Anna Bella Manalang
Industrial Engineering Department
The fisheries sector plays a major role in the Philippine economy as it continuously provides employment to about one million of its currently 80 million constituents and generates revenue, the foreign trade performance of the fishery industry in 2004 registering a net surplus of 433.1 million dollars. However, the Philippine fisheries are presently threatened due to poor management. This has caused the stagnation of the industry resulting to decreasing fish catch and habitat degradation. This is happening to the Philippines while fisheries in other countries flourish. This study documents the performance of the fisheries sector of the different countries found in the Asia-Pacific region. It identifies different factors, which play a role in the performance of fisheries of the different respective countries identified. The study starts with an over-all look at the industry in the region. It then delves into the industry of each country. It touches upon the economic impact and the recent trend of the industry for each country. The study then centers on the Philippine fisheries, touching upon issues that may have contributed to the decline of the industry.
Autonomous Mapping Robot Using Odometry and Sonar Sensors
32 F U/C 2 06
Ms. Phyllis Lim
Manufacturing Engineering and Management Department
Today, some robots use pre-specified maps to help them do their tasks like transporting or searching items. Minor changes in the environment may pose problems because it may impede the movement or function of the robot. This project aims to create a self-navigating, map-generating mobile robot using an array of ultrasonic sensor and odometry. The mobile robot successfully demonstrated the capability to build two-dimensional profile of the navigated environment. If accomplished this through a repetitive process of moving to a new position, sensing the environment, updating the map and planning subsequent motion. This demonstrates that an autonomous mapping mechanism can increase the versatility of a robot by allowing it to react to changes in the environment and adjusts actions accordingly.
Indoor Air Quality Investigation of Classrooms in Selected Grade Schools in Metro Manila
21 F U/S 1 05
Dr. Manuel Belino
Mechanical Engineering Department
This study investigated the indoor air quality of selected grade school classrooms in Metro-Manila. It considered three schools located in strategic areas; namely, northern, central, and southern part of the metropolis. Air sampling tests determined the concentration of chemical contaminants such as carbon dioxide, carbon monoxide, nitrogen oxide, benzene, and toluene. The concentration of total respirable dust, temperature and relative humidity of the indoor air were also determined.
The level of chemical contaminants and total respirable dust found in all the grade school classrooms of the three schools selected in the study were below the maximum threshold limit value. Although considerable amount of carbon dioxide was detected during the air sampling, its highest concentration level was still within the threshold limit value based on the Occupational Safety and Health Standard of the Department of Labor and Employment. The recorded temperature and relative humidity were generally within the design conditions for comfort cooling except those in fan-ventilated classrooms.
The common sicknesses and/or discomforts that the children reported they experienced in the classrooms such as colds, cough, headache, nausea and difficulty in breathing were poor air quality related respiratory sicknesses/discomforts. However, such could not be attributed to indoor air pollutants such as the chemicals and volatile organic compounds since their concentration levels were within the threshold limit value of the standard.

Thermodynamic Analysis of Integration Options to Improve the Net Energy Balance of Biofuel Production
(Paper: A Fuzzy Linear Programming Extension of the General Matrix-based Life Cycle Model)
12 F U/C 3 06
Dr. Alvin Culaba
Mechanical Engineering Department
Dr. Raymond Tan
Chemical Engineering Department
A fuzzy linear programming extension of the general life cycle model is described. The model is suitable for applications involving system design and optimization wherein fuzzy target levels for environmental flows or impacts are specified, and wherein multiple technological alternatives capable of providing equivalent products or services are present within the life cycle boundaries. Solving the model results in an optimal mix of technologies that embodies the best compromise of the fuzzy environmental targets specified. The model formulation is concise and consistent with the generalized matrix-based LCA model; its linearity also makes identification of the optimal solution straightforward. Applications of the model to two illustrative case studies are also given.

College of Liberal Arts
Explaining Angelo: The Philippines as a Developing State in the US-led Coalition of the Willing
26 F U 2 04
Mr. Edito Gan
International Studies Department
This study will explore the development of international security cooperation against terrorism since 9/11 and the part that developing states play in it. Using the Philippine government’s attempts to negotiate and eventually come to terms with the terrorist Islamic Army (Khaled bin al-Waleed corps) for the release of Angelo De La Cruz in July 2004 despite US disapproval as case stusy, the proponent will employ a two-level model to ascertain how domestic pressure affects a developing state’s commitment to international cooperation against terrorism in hosspots like Iraq.

The Politics of Ethnicity and Self-determination: The Making and Unmaking of the Moro Secessionist Movement
36 N 2 03
Dr. Rizal G. Buendia
Political Science Department
This paper is another effort to examine the issue of Muslim separatism. However, unlike other approaches the study analyzes secessionism from the perspective of ethno politics. It brings in the ethnic factor in the conflict between the state and Muslims’ quest to create their own nation-state. It appraises the significance of the politics of ethnicity in strengthening and weakening of Muslims idea of Bangsamoro identity and how such identity serves a political purpose.
Using a hybrid framework which combines Paul Brass’ and Abner Cohen’s instrumentalist approach to ethnicity on the one hand and Michael Hechter’s and Michael Banton’s rational choice theory on the other hand, the paper argues that the complexity of the current separatist war is not simply due to the weakness of the state but also due to the weakness of the Bangsamoro identity and notion of nationhood. This frailty allows the state to co-opt leaders of the movement and sabotage their legitimate quest to self-governance and political autonomy.
The reinvention of the Moro struggle towards self-determination is likewise examined using the just-cause or remedial right theory of secession advocated by Allen Buchanan and Anthony Birch, among others. This part of the study argues that although Moro self-determination would not be a promising agenda due to the international community’s effort to protect the state’s territorial integrity, secessionism cannot be ruled out as long as the state fails to address the legitimate demands and grievances of Muslims to meaningful self-governance.
The study concludes that the threat of national disintegration will continue until an appropriate and responsive institutional framework for political governance which can accommodate Mindanao’s social and ethnic diversity is determined. Hence, there is a need to lay emphasis on local good governance, the rule of law, improved civil-military relations, accountability of public officials for corruption, and human rights protection. To a large extent, these efforts will accelerate the early conclusion of conflict, hasten the process of peace building, and find a respectable and honorable final peace agreement between contenting forces. And more importantly, these would not only strengthen the Philippine nation-state but also considerably foster a cohesive national society.

Parents Living with HIV/AIDS
27 F U 1 05
Dr. Roberto Javier, Jr.
Psychology Department
This is an exploratory-descriptive research on the lives of mothers and fathers infected with the deadly virus, the Human Immunodeficiency Virus. The study employed the narrative interview method to generate stories of needs, concerns and experiences of parents living with HIV and the effects of chronic illness on their individual life as well as on their family affairs. The field researcher, a single person also positive with the virus used a set of guide questions to conduct interviews with 30 parents living with HIV. These parents were contacted through networking with local AIDS NGO’s and their consent to disclose the diagnosis and to share their story was sought prior to the actual interview. Transcript of interviews were content-analyzed to form categories. Parents with HIV were in their early and middle adulthood. All the parents contracted the virus sexually while their children were infected through maternal-to-child transmission. Almost all of them acquired the virus abroad. Almost all the men infected their spouses. The deadly virus was detected upon the death of a partner in AIDS-related illness. Diagnosis of children was acquired as the mother was identified HIV-positive. Single parents with HIV retorted their difficulties in parenting alone as a consequence of the death of a spouse. HIV-positive parents were distressed by their own dying with the illness and were in a dilemma of disclosure. However challenged with the problems of daily living, these parents continue to be involved in the development of their children through their life course. Parenting their sons and daughters provides them with a sense of accomplishment as being mothers or being fathers. Yet, they were still silently in sorrow and grief while living with the socially stigmatized disease. Providing psychosocial care for afflicted children and individual psychotherapy for patients, parents and children with HIV will promote wellness in the family.

Preadoption Risk, Adoption Secrecy, and Family Functioning as Predictors of Adjustment of Filipino Adopted Children
39 RP-D U/C 2 05
Dr. Ma. Caridad Tarroja
Psychology Department
This study looks into the preadoption risk and postadoption factors (adoption secrecy and family functioning) that significantly predict the adjustment of 32 adopted children. Latent variable path analysis using partial least squares was employed to look into relationships among the latent variables and relationships between a latent variable and its indicators. Qualitative data and illustrative cases were likewise analyzed to look into variables that were deemed important factors in the adjustment of adopted children. The results consistently show that family functioning is the single important factor for Filipino adoptive families. Although no significant direct link exists between preadoption risk and adoption secrecy and adjustment of adopted children, adoption communication proves to be a significant predictor of family functioning.

The Catholic Social Teachings and the University
54 F U 3 06
Dr. Ferdinand Dagmang
Theology and Religious Education Department
The task of disseminating/teaching the Catholic Social tradition within the University cannot skirt around the person and location of the academician/professor and the hearers’ context and concerns. The academician’s expertise, exposure to various disciplines, and especially the culture of research would, however, introduce a certain problematic with regard to the particular process of handing on a tradition to students. This problem/tension between dissemination and interpretation reflects the classic hermeneutic problem. Using some principles of interpretation, this article clarifies the task of a creative dissemination as essential to the handing on of Tradition. Teaching the Catholic Social Teaching tradition becomes not only transmitting content but also an involved and embedded process of passing on a meaningful and valuable heritage. This concern to disseminate a significant Catholic Social Teachings tradition within the University may entail the development of the following: 1) attention to students’ social condition; 2) a more critically-informed social commitment; 3) the cultivation of an inter-disciplinary expertise and; 4) the nurturing of a deeper social awareness. All of these would enhance the process and exercise of relevant dissemination.

Interreligious Dialogue Since Second Vatican Council: Retrospect and Prospect (In Response to the Call of FABC on Interreligious Dialogue)
29 S U/C 2 04
Dr. Ismael Maningas, Jr.
Theology and Religious Education Department
Synopsis
The last thirty years, have seen ample statements issued at FABC assemblies, seminars and two volumes of the collection of FABC documents from 1970-1991, from 1992-1996 and 1997-2001 published under the title “For All the Peoples of Asia” are calling for the Church to take seriously this agenda of dialogue. However, a serious and critical look at our churches here in Asia, would lead us to a conclusion that dialogue seems rather low in the priority list and there seems to be a gap between theory and practice as commented by Bishop Lawrence Thienchai Samanchi, D.D.
Bishop Lawrence Thienchai Samanchi noticed that part of the reasons for this gap and disparity is lack of formation and information on the new thrust of the Church in Asia. Many have no access to the post-Vatican II teachings about the Church’s relation with other religions, in part because Church documents are sometimes too technical to be understood by the ordinary lay.
In this light, “The Resource Manual for Catholics in Asia Dialogue”, edited by Franz-Josef Eilers, SVD, is an attempt to address the issue, however it only hopes to play a small role in the education and formation of persons for interreligious dialogue. For this reason, this book aims at giving a bigger role in the education and formation of persons for interreligious dialogue.
College of Science
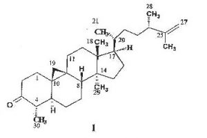
Isolation, Structure Elucidation and Antimicrobial Assay of Secondary Metabolites from Six Philippine Medicinal Plants
19 S U/C/S 1 06
Dr. Consolacion Y. Ragasa
Chemistry Department
The air-dried leaves of Tectona philippinensis, an endemic and endangered Philippine medicinal tree, afforded four new chromomoric acid derivatives (1, 2, 3a and 3b). Their structures were elucidated by extensive 1D and 2D NMR spectroscopy. Antimicrobial testing was carried out on 1-3 against a panel of bacteria and fungi. The following known compounds were also obtained from the leaves of the plant: 5-hydroxy-3,7,4′-trimethoxyflavone (4), 5,4′-dihydroxy-3,7-dimethoxyflavone (5), squalene (6), a mixture of lupeol (7a) and β-amyrin (7b), chlorophyllide a (8), and hydrocarbons. Antimicrobial tests on 4 and 5 indicated low antifungal activity against the fungi, C. albicans and T. mentagrophytes. Compound 4 was also found to have low antibacterial activity against E. coli and P. aeruginosa.
SEE FIGURE 1

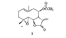
The dichloromethane extract of the corm of Musa errans, an endemic form of wild banana afforded 31-norcyclolaudenone (1), squalene, and a mixture of stigmasterol and sitosterol. The structure of 1 was elucidated by extensive 1D and 2D NMR spectroscopy. Antimicrobial tests on 1 indicated that it has low activity against C. albicans; E. coli, P. aeruginosa, and T. mentagrophytes; and inactive against B. subtilis, S. aureus, and A. niger.
SEE FIGURE 2

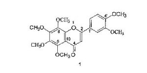
The dichloromethane extract of the air-dried flowers of Tagetes erecta afforded 2,2′:5′,2′-terthiophene (1) and 5,7,4′-trihydroxyflavanone (2). Compound 2 showed moderate activity against C. albicans, low activity against E. coli, P. aeruginosa, S. aureus, and T. mentagrophytes,and inactive against A. niger. Compound 2 was tested for cytotoxicity against a human lung non-small cell adenocarcinoma (A549) cell line and a normal Chinese hamster ovarian cell line (AA8). It was found inactive against A549 and AA8.
SEE FIGURE 3

The stem of Pouteria campechiana afforded 1 and a mixture of 2 and 3 in a 0.3:1 ratio by silica gel chromatography. Their structures were elucidated by extensive 1D and 2D NMR spectroscopy. Antimicrobial tests on 1 and a mixture of 2 and 3 indicated that they are slightly active against the bacteria, E. coli and P. areruginosa and the fungi, C. albicans and T. mentagrophytes. They are inactive against S. aureus, B. subtilis, and A. niger.
SEE FIGURE 4

The dichloromethane extract of the air-dried flowers of Michelia champaca afforded 11,13-dehydrolanuginolide (1) by silica gel chromatography. The structure of 1 was elucidated by extensive 1D and 2D NMR spectroscopy. Antimicrobial tests on 1 indicated that it is moderately active against the fungus, Candida albicans. It has low activity against the bacteria, P. aeruginosa and E. coli and the fungus, T. mentagrophytes. It is inactive against S. aureus, B. subtilis, and A. niger.
SEE FIGURE 5

Air-dried leaves of Citrus microcarpa Bunge afforded 3′,4′,5,6,7,8-hexamethoxyflavone (1) and squalene. The structure of 1 was elucidated by extensive 1D and 2D NMR spectroscopy. Antimicrobial tests on 1 indicated that it has moderate activity against the fungus, C. albicansand low activity against the bacteria, P. aeruginosa and B. subtilis and fungi, T. mentagrophytes, and A. niger.
SEE FIGURE 6

GraphTEX
42 UERF 3 03
Dr. Severino Gervacio
Mathematics Department
(42 UERF 3 03)
Dr. Severino Gervacio
Mathematics Department
Preface
I first used plain TEXsometime in 1992. I needed to draw graphs (a collection of vertices and edges) and I had to look for drawing packages to create my drawings. There was no single package that will serve my purpose and I had to write additional macros on top of those that are available. This challenged me to create macros to draw graphs. The first version of GraphTEX (which contains about 55 macros) appeared in 1994. This version of GraphTEXcontains about 168 macros for drawing graphs plus a lot more. Macros for drawing special graphs such as paths, cycles, fans, wheels, complete graphs, complete bipartite graphs, and generalized Petersen graphs are included in GraphTEX Drawing Bézier curves with quadratic or cubic parametric equations are included. These are applied to make approximate drawings of circles, ellipses, hyperbolas, and sine and cosine curves. The approximation is shown to have a high degree of accuracy by showing that the maximum error in the drawing is very small and negligible. Parabolas are drawn correctly using second degree Bézier curves. GraphTEX is also capable of performing translation, reflection and rotation. Three-dimensional drawings and graphs can be created using GraphTEX. Miscellaneous macros about summation, multiplication, day, date, time, etc. are also included.
I hope that GraphTEXcould provide most if not all the things that one needs in making drawings in a TEXor LATEXdocument. What GraphTEXlacks could perhaps be added without much difficulty by building other macros from its existing macros.
This project which consisted of expanding and enhancing GraphTEX including the writing of this book was done during the period September 2004 to August 2005 under the Research Faculty Program of De La Salle University-Manila.

Quantum Percolation of Infinitely-Sized Disordered Clusters in Two Dimensions
58 N 3 05
Dr. Eduardo C. Cuansing Jr.
Physics Department
(58 N 3 05)
Dr. Eduardo C. Cuansing Jr.
Physics Department
We study the hopping transport of a quantum particle through finite, randomly diluted percolation clusters in two dimensions. We investigate how the transmission coefficient Tbehaves as a function of the energy E of the particle, the occupation concentration p of the disordered cluster, the size of the underlying lattice, and the type of the connection chosen between the cluster and the input and output leads. We investigate both the point-to-point contacts and the busbar type of connection. For highly diluted clusters we find the behavior of the transmission to be independent of the type of connection. As the amount of dilution is decreased we find sharp variations in transmission. These variations are the remnants of the resonances at the ordered, zero-dilution, limit.
For particles with energies within 0.25 ≤ E ≤ 1.75 (relative to the hopping integral) and with underlying square lattices of size 20 x 20, the configurations begin transmitting near Pα = 0.60with T against p curves following a common pattern as the amount of dilution is decreased.
Near Pβ = 0.90 this pattern is broken and the transmission begins to vary with the energy. In the asymptotic limit of very large clusters we find the systems to be totally reflecting in almost all cases. A few clear exceptions we find are when the amount of dilution is very low, when the particle has energy close to a resonance value at the ordered limit, and when the particle has energy at the middle of the band. These three cases, however, may not exhaust all possible exceptions.
SY 2006-2007
College of Business & Economics
The Determinants of Firm Growth in Small And Medium Enterprises in the National Capital Region
Dr. Emilina R. Sarreal
Business Management Department
Several personality, firm attribute, and macroeconomic-based approaches had been made to determine their influence on firm start ups and expansion. Studies had constantly claimed that successful entrepreneurs have far-reaching impact on economic development by increasing employment, fostering stability, escalating the tax base building capacity in developing countries, and reducing poverty.
This study attempted to mix personality, firm attribute and macroeconomic factors through multidimensional growth model in ascertaining which variables significantly affected firm performance, personal growth of entrepreneurs, and economic growth. Primary data were collected through a survey of randomly selected SME owners and principal decision makers from the list provided by the Department of Trade and Industry-National Capital Region (DTI-NCR). These data were encoded and processed through SPSS software package using descriptive, correlational, and evaluative designs with the aid of the following statistical tools: frequency and percentage distribution, summary statistics (mean, minimum, maximum), chi-square test for mean differences, multiple and logistic regression modeling, and MANOVA (multivariate analysis of variance) for joint and separate interaction and main effects of the moderating variable.
This study concurred with Gibb and Davies (1990) in Pistrui (2002) that formal assistance, including training and consulting, did not have any significant impact on firm growth due to lack of empirical validation and the government’s inability to understand how external factors and constraints impacted firm growth. More importantly, entrepreneurship enhancing programs and policies in the Philippines were directed mainly to start up ventures rather than older firms uninformed of these programs and policies. Even the developed countries suffered the same fate as entrepreneurship enhancing programs and policies they implemented have only resulted in modest levels of entrepreneurial activities. Through no fault of their own, institutions concerned with providing formal assistance and entrepreneurship support incentives (ESIs) failed to consider what entrepreneurs need in the context of their environments.
The major findings of this study indicate that in the NCR determinants of firm, personal and economic growth differ from those which availed and did not avail of SME services:
1) The form of ownership, non-managerial experience, nature of business, and the firm’s age are significant determinants of firm growth for respondents who availed of SME services;
2) Formal education, average achievement, attendance in product skills (PD) and leadership seminars, previous entrepreneurial experience, and form of ownership are significant determinants of personal growth of SME owners and principal decision makers who availed of SME services. Factors that influenced personal growth of respondents who did not avail of any SME services include attendance in networking seminars and product development seminars, form of ownership, age, gender, and non-managerial experience;
3) For those which availed of SME services, the nature of business is the only
significant factor that explains their ability to contribute to economic growth. The form of ownership, nature of business and achievement orientation of SMEs that did not avail of SME services came out as significant factors that influence contribution to economic growth;
4) SME service provided by DTI is a significant moderating variable that affect firm’s sales, profit, regular and contractual employee levels when combined with non-managerial experience, achievement orientation, form of ownership and nature of business;
5) SME services exerted moderating effect on the form of ownership that influence personal growth through membership and leadership in trade associations;
6) SME services significantly exerted moderating effect on the nature of business, specifically the wholesale and retail trade firms, that influence gross value added (GVA) contribution.
The findings of the study strongly recommended that the future environmental interventions undertaken by the government and SME owners should be consistent with the latter’s ability and propensity to enterprise, the type and source of managerial complexities they experience in their respective business sectors and their form of ownership. Thus, entrepreneurial and business seminars focusing on product development, industry briefings, leadership, and executive development programs should
be made available to “emerging entrepreneurs” or SME owners who have low ability and high propensity to enterprise. On the other hand, the government should make socioeconomic conditions suitable for firm expansion and growth for “high growth entrepreneurs” or SME owners.
External and Internal Alignment Influence on the Performance of SMEs in the Philippine Furniture Industry
Dr. Edgardo N. Bolinao
Business Management Department
Strategic management scholars generally view environment scanning as a prerequisite for formulating effective business management strategies. Effective scanning of the environment is also seen by both large and small firms as necessary to the successful alignment of competitive strategies with environmental requirements and the achievement of the successful firm performance. This study of industry-specific small manufacturing firm examines contingency theories that link environmental conditions (industry life cycle stages), competitive strategy, owner characteristics (functional experience experiences), scanning (frequency and scope of scanning), and firm performance. The integrated alignment model incorporates: (1) external alignment (alignment between competitive strategies and an industry life cycle stage impact on firm performance); (2) integral alignment (alignment between competitive strategies and owner functional experience and their impact on firm performance); and (3) the impact on firm performance of frequency and scope of scanning on external alignment. The model is particularly useful to SMEs as it recognizes the main, often dominant role, that the owner of entrepreneur plays in small business operations.
Assessing the Economic and Poverty Impacts of Reducing Carbon Emissions in a Small Liberalized Developing Economy: The Case of Philippines
Mr. Erwin L. Corong
Economics Department
This study analyzes the economic and poverty effects of restraining carbon emissions in a small liberalized developing the Philippines. The simulation results indicate that tariff reduction reduces the cost of fossil fuels resulting in an increase in carbon emissions. The economic cost of reducing carbon emissions by imposing a carbon tax is minimal when compared to the no carbon tax scenario. This is because the reduction in consumer prices, as a result of tariff reduction outweighs the increase in production cost that emanates from the imposition of the carbon tax. Overall results suggest that a carbon tax aimed at maintaining a zero growth in carbon emissions does not significantly sampan economic activity, affect poverty, and impede the country’s trade liberalization agenda. Thus, restricting carbon emissions via a carbon tax appears to be a sensible alternative that may satisfy the economic, poverty, and environmental objectives of the country.
College of Computer Studies
Design and Implementation of an Automatic Bilingual (English-Tagalog) Lexicon extraction Algorithm from Corpora
Dr. Rachel Edita O. Roxas
Software Technology Department
An improved alternative automated approach to (Tui, 2004) for the extraction of an English- Tagalog bilingual lexicon (or dictionary) from the comparable, non-parallel corpora is designed and implemented. Empirical tests show that the new approach has a potential to improve the translation quality of extracted terms to the lexicon.
College of Education
Corpus linguistics in the Philippines: Exemplary Analyses of the Philippine Component of the International Corpus English Project
Dr. Ma. Lourdes S. Bautista
Department of English and Applied Linguistics
Preface
This monograph is intended to introduce Filipino linguists, language educators, and even graduate students just becoming exposed to the study of language to a new way of doing linguistics, to its rewards and challenges.
This new way of doing linguistics, the new methodology is called “corpus linguistics” (Meyer 2002) and it requires two things: a relatively huge corpus of language data and a software program that can readily analyze the data. One such database is the Philippine component of the International Corpus of English (ICE-PHI), consisting of approximately one million words, and it is complemented by one-million-word parallel corpora from ICE – in this monograph, ICE-Singapore, ICE-Hong Kong, and ICE-Great Britain. For researchers interested in doing corpus linguistics, all theses corpora can be downloaded from the Internet at the ICE website http://www.ucl.ac.uk/English-usage/ice/index.htm.
The software program is a concordancing program – in this case, Oxford University Press’ WordSmith Tools (version 4) – that can arrange the data in an organized form so that frequencies of occurrence can be easily determined together with information on the clustering of words. WordSmith Tools can be bought from Oxford University Press by accessing the OUP’s website. For the information of DLSU faculty and students, the Department of English and Applied Linguistics of De La Salle University-Manila has one licensed copy housed in a computer in the English Language Laboratory.
On the other hand, ICE-Great Britain comes with a built-in software program with many more features in addition to concordancing, called the ICECUP or Corpus Utility Program. The ICECUP is capable of doing many kinds of analyses, but it can be used only with ICE-GB because only ICE-GB is a tagged and parsed corpus. How to use ICECUP is discussed and exemplified in great detail in Nelson et al. (2002). ICECUP can be made available to researchers who download ICE-GB from the ICE website.
This is the first monograph prepared in the Philippines showing the usefulness and sample results of doing corpus linguistics on Philippine data.
Chapter 1 (“Introducing corpus linguistics and the Philippine component of the International Corpus of English (ICE-PHI)”) provides an overview of the International Corpus of English, and particularly of the Philippine corpus, and it also introduces the concordancing software, WordSmith Tools. The reason for taking up these topics in great detail is to encourage researchers, especially young academics, to use the corpus (fully aware of its possibilities and its limitations) and to lose their fear of new software.
The next two chapters exemplify analysis of the ICE corpora using the concordance program, moving from the relatively simple and piecemeal analysis of Chapter 2 to the more complex analysis of Chapter 3. In Chapter 2 (“Validating the putative features of Philippine English, with cross-reference to other Englishes”), features of Philippine English that have been mooted in the literature are subjected to frequency tests and these frequencies are placed side-by-side with the frequencies of these features in Singapore English, Hong Kong, and British English. Chapter 3 (“Exemplary analysis of ICE-PHI, with cross-reference to other corpora”) replicates the analysis of Schneider of the Kolhapur corpus of Indian English (2000) in terms of the use of the subjunctive, the case marking of wh-pronouns, and the indefinite pronouns with -body and -one.
It is my hope that this work will make it possible for corpus linguistics to find new adherents in the Philippines and to generate new research using ICE-PHI that will illuminate the richness, the singularity, and the standardness of the variety of English we speak in the Philippines.
The Construction and Interpretation of Assignment Feedback in Higher Education
Dr. Josephine F. Mirador
Department of English and Applied Linguistics
This thesis attempts to present a micro-sociological study of the language of assignment feedback in the social situation of higher education. Using a combination of qualitative discourse analysis, concordance analysis and case approach, I determined the relationships between tutor intentions in assignment feedback and the interpretation of feedback by postgraduate students in the MA Education programme of the University College Chichester (UCC). In this objective, I used the text of assignment feedback as the window to tutor intentions and as the trigger to understand student interpretation.
My findings revealed twelve types of categories or moves that tutors adopt in writing assignment feedback, the meaning behind tutor use of particular linguistic forms and grammatical constructions, and the concerns of postgraduate students in their interpretation of assignment feedback. The main finding of the thesis involves as mismatch in tutor intentions and student interpretation. This means while tutors and postgraduate students agree in general about the purpose of the feedback sheet, their expectations as to which purpose should take precedence differ: tutors believe feedback essentially fulfills a psycho-emotional function whereas postgraduate students see that feedback’s main function is for guidance.
This investigation has been originally conceptualized to look at the quality of assignment feedback in the MA programme in Education in UCC. This thesis then presents a model/framework with which to account for the relationship between tutor intentions and student interpretation in the social context of higher education in UCC. Aside from helping clarify the nature of the relationship between tutor intentions and student interpretation of assignment feedback, the model/framework presented here can be positively utilized to identify the components of the social order on which feedback in higher education anchors, and to highlight the value of looking at writing practices, power, and psycho-emotional support as key dimensions to explain the role of assignment feedback in higher education.
Defining the Filipino Texter and Texting Style: A Sociolinguistic Analysis of Text Messaging in the Philippines
Dr. Mildred Rojo-Laurilla
Department of English and Applied Linguistics
The study aimed at understanding and explaining the sociolinguistic dynamics of text messaging (texting or SMS) within the Philippine context. Using the theoretical framework of Hymes (1974) – the ethnography of speaking, the Filipino texters’ text messages were described in terms of: (1) setting, (2) participants’ sociodemographic characteristics, texting profile, perceptions about texting and the co-texters’ profile, (3) ends, (4) act sequences particularly topic and turn taking, (5) key particularly code switching and abbreviation patterns, politeness and speech acts, (6) instrumentality, (7) norms of interpretation and interaction, and (8) genre. Using multiple regression analysis, it was revealed that the texters’ age, sex and work were predictors of texting style. In terms of the discourse features, certain politeness markers, role, topics, speech acts and co-texter texting styles were also predictors of texting style. Perception and texting profile were weak predictors of Filipino texting style.
The study also proposes a sociolinguistic communication model of communication. The model shows the shared fields of experience of the texters and co-texters through symbolic interaction, as realized by constant communication over time (via texting) that allowed them to participate fully in the texting culture. What these texters and co-texters share in common are the same interpretations of the linguistic or discourse markers thus, producing a unique Filipino texting style.
Social Dimensions of Philippine Education
Dr. Adelaida L. Bago
Educational Leadership and Management Department
The project involves the development of a book that explores the uniquely Asian and Filipino foundations of education in the country today. The aim of the project was to develop an instructional material that could help students, educational practitioners, and educational leaders better understand why education is what it is today.
Right now available books and references explore universal principles and concepts and hardly contain information and discussion of the foundations of Philippine education that are unique and distinctively Asian, and more importantly, Filipino. As a consequence students have to be satisfied with literature on the foundations of education that is for the most part about western education and the factors responsible for its evolution to what it is today. Even those written by local authors in general, discuss the universal foundations of education in generic terms largely based on the perspective and experience of western countries. Because of the dearth of instructional materials on the foundations of the Philippine Education, the proponent decided to develop a book that would address this specific concern and would help answer the need of the educational community.
Thus the book is an attempt by the author to the need for an instructional material that will focus on the different social dimensions of Philippine education: philosophical, historical, psychological, and legal and their impact on curriculum, instruction, and structure/organization. In the writing of the book, the author reviewed local materials both conceptual and empirical in order to incorporate regional and local perspective and experiences in the discussion and related these whenever possible to universal foundations.
In order to achieve the objectives of the project, the book presents an extensive historical overview of Philippine Education in terms of three important concerns: curriculum, instruction (teaching-learning) and structure (organizational as well as educational levels) and the philosophical, psychological, sociological, legal and educational levels) and the philosophical, psychological, sociological, legal and leadership dimensions that underpin its growth and evolution. Below is the conceptual framework of the book.
Based on the framework, the book is divided into 6 chapters. Each chapter corresponds to a social dimension. The first chapter discusses the sociology of education. The five succeeding chapters focus on the different social dimensions: philosophical, historical, psychological, legal and leadership. The chapter on the leadership dimension provides a profile of the different educational leaders who steered the educational sector during the last century and their contributions to the evolution and growth of Philippine education.
A Proposed Framework for the Effective Management of Preschools
Ms. Lilia S. Bautista
Educational Leadership and Management Department
This study was aimed at the development of a framework for the effective management of preschools. Bases for the framework were the conceptual literature, primarily the Revised Head Start Performance Standards (RHSPS), and actual management practices in selected, top performing preschools in Metro Manila.
Results showed that the participant schools observed most of the practices in all the management areas covered by RHSPS. No management practices other than those covered by the RHSPS are observed in the participant schools. It is recommended that the proposed framework for the effective management of preschools be tried out in the local setting, particularly in Metro Manila. It is further recommended that the study be replicated in other parts of the country to validate the proposed framework.
Development of a Web-Based Courseware in Integrated Research and Statistics for the Executive Program in Educational Leadership and Management of DLSU-Manila
Dr. Flordeliza C. Reyes
Educational Leadership and Management Department
This is an URCO-funded research, which was inspired by the CREM training program on designing a basic, interactive, multimedia presentation using HyperStudio. Technical aspects, such as the graphic design of the hyperstacks and cases of some missing links, were enhanced and solved respectively, with the assistance of the Director and the staff of the center.
This courseware is primarily intended for the use of students of the predominantly on-line, PhD on Educational Leadership and Management Executive Program of ELMD. However, it may used by graduate students of education, educational management, and related in other higher education institutions.
This is a self-learning tool aimed at helping students understand and conduct research. As such, it allows them to navigate the entire course content in a non-linear fashion, based on their learning pace, abilities, interests, needs, and background knowledge of research and statistics. Reflection and self-test questions are interspersed with information materials to facilitate self-assessment and direction in accessing content. To help students who may lack the needed background to understand the more advanced topics on research and statistics, a review of basic or fundamental concepts has been included. In addition, to facilitate understanding of abstract concepts, the courseware presents an array of concrete examples and hyperlinks on: (a) conceptual and empirical literature available on the Internet, (b) research studies I have conducted and a few others done by my graduate students, and (c) lectures I have prepared for teaching graduate courses in statistics and research in DLSU-Manila and in conducting seminar-workshops for professional organizations and teachers in other educational institutions.
The courseware presents research both as a process (how to conduct research) and as a product (the research report). It was also so designed as to facilitate understanding of the applications and limitations of statistics in research; the different research methods (from applied to pure research) and techniques; the criteria for evaluating research, and the different ways of data analysis (qualitative and quantitative).
The courseware also includes PowerPoint presentations, with hyperlinks. Hence, aside from being a learning resource, this courseware may also be used as a teaching tool by teachers of graduate research and statistics.
Exploring Social Axioms and Personal Epistemologies in the Context of Philippine Schools
Dr. Allan B. I. Bernardo
Science Education Department
Adapting the Social Axioms Survey for Philippine Research: Validating Filipino and English Versions
The study was conducted was explore the validity of English and Filipino versions of the Social Axioms Survey (SAS) for studying the social beliefs for Filipino participants. An 80-item version of the SAS was used in the study, focusing on five scales corresponding to five dimensions of social beliefs defined by Leung et al. (2002): social cynicism, fate control, social complexity, religiosity, and reward for application. The SAS, which was in English, was translated into conversational Filipino. The 852 college students who participated in the study were asked to answer one of the two language versions. Based on the responses, the internal reliability of most of the scales of the two versions of the SAS were less than adequate. The reliability of the scales were improved by removing items with low item-total correlations, creating abridged versions of the two language versions of SAS. Confirmatory factor analysis was conducted with each of the two abridged language versions; the results were mixed for both language versions, with only some indexes indicating good fit with the data. The results indicate that the Filipino and English versions of the SAS may be tapping the dimensions of fate control and social cynicism in different ways. The discussions focussed on the possible explanations for the language differences related to these two scales, and on the usefulness of the abridged versions for studying social beliefs of Filipinos.
Exploring Epistemological Beliefs of Bilingual Filipino Preservice Teachers in the English Filipino Languages
The study investigated the epistemological beliefs of bilingual Filipino preservice teachers using Filipino and English versions of the Schommer Epistemological Questionnaire. Confirmatory factor analyses were conducted to determine the dimensions and structure of the epistemological beliefs of 864 preservice teachers. The results revealed two factors: Fixed Ability and Simple Knowledge, and that the same factors were found using the Filipino and English versions of the questionnaire. There were gender differences in the beliefs of those who answered the questionnaire in Filipino, and the two factors were correlated to specific social axioms or beliefs (social complexity, religiosity, and reward for application). The results were discussed in terms of how they contribute to the growing evidence regarding the possible problems with particular multidimensional theories and quantitative measures of epistemological beliefs. But the results also indicate how the specific epistemological beliefs of the Filipino preservice teachers may be problematic as they might be associated with teaching behaviors that do not promote deeper learning and more critical thinking among Filipino students.
Social Axioms, Orientation of Achievement Motives, and Hope Influence Filipino Students’ Achievement Goals
The study was conducted to verify hypotheses on the relationship between social beliefs (social axioms), orientation of achievement motives, hope, and different achievement goals. Hypotheses were based on the assumptions of self-determination theory that specify a dialectical relationship between motivations and the environment. In particular, students’ beliefs about whether the social environment is supportive of either autonomous or relatedness needs was hypothesized to influence achievement goals. 257 students completed questionnaires on (a) social axioms, (b) individual vs. social-oriented achievement motives, (c) hope, and (d) achievement goals. Their responses were used to verify hypothesized path models leading to three types of achievement goals. The results provide some support for the hypotheses that students who hold beliefs that the social environment support self-instrumentality (reward for application, social complexity, and the opposite of social cynicism) develop more individual-oriented motives and stronger sense of hope, and adopt mastery goals. On the other hand, students who hold beliefs that the social environment supports social-instrumentality and not autonomy (reward for application, fate control, and religiosity) develop more social-oriented motives, and adopt performance goals.
A Tracer Study of the PhD Graduates of the College of Education, 1990-2005
Dr. Bee Ching Ong Kian Koc
Science Education Department
The main purpose of this study is to trace the whereabouts of the PhD graduates produced by the Science Education Department of the College of Education in terms of their profession growth and job positions in the academe and their socio-demographic-economics status. The evaluation was based on the objectives of the PhD in Science Education programs to produce science educators and researchers imbued with quality education in there area of specialization, proficient with content and teaching pedagogy and ready to do their share in transforming society. Descriptive-survey method was employed using researcher-made survey questionnaire to achieve the objectives of the study. A follow-up interview was done to gather additional information about the usefulness of the curriculum to their job position and job satisfaction. The respondents include about 70 doctoral graduates from 1990-2005, whose names and addresses were retrieved from the registrar’s records. The data gathered from the survey questionnaire were analyzed using descriptive statistics. Only 32 survey questionnaires were returned and this represents 47% retrieval rate. The findings of the study indicated that all graduates have stable teaching job and all doing research. About 90% indicated that they used their knowledge and skills to a high extent either in teaching-learning process or in doing administrative work. The female respondents had twice as high participation rate in professional organization than male respondents in terms of membership, attendance in conferences, and position held in the organizations. It further reveals that female respondents had more scholarly researches, either published or unpublished, than male respondents. Moreover, only female respondents have completed researches with foreign institutions. As a whole, the respondents of the study had job stability and financial stability. Majority of them had their own house and computer with printer and other educational equipments needed in their teaching profession.
College of Liberal Arts
The Integration of Domestic Violence Issues in the Nursing Curriculum: Effects Of the Use of Teachers’ Guides and Student Learning Modules on the Faculty and Students In Selected Philippine Nursing Colleges
Dr. Pilar Ramos-Jimenez
Behavioral Sciences
The integration of domestic vioLence issues into the nursing curricuLum of SitLiman University was a piLot project that was initiated in I 997 to 2000 by De La SaLLe University-SociaL DeveLopment Research Center’s Task Force on SociaL Science 8 Reproductive HeaLth (TFSSRH), a smaLL group comprising of health professionaLs and sociaL scientists, a Lawyer, and representatives of women’s organizations. This project was undertaken in coLLaboration with the Association of Deans of Philippine CoLLege of Nursing (ADPCN) with funding from The Ford Foundation (TFF) and the Commission on Higher Education (CHED). ELeven student Learning modules and teachers’ guides for nine nursing subjects were written by seLected SiLLiman University’s sociaL science and nursing facuLty members in partnership with the TFSSRH. These moduLes were pubLished and subsequentLy endorsed by ADPCN in its annuaL convention in 2000. In June 2002, SiLliman University conducted a one-week training for seLected nursing schooLs in the use of the foregoing tooLs for their respective institutions.
The main objective of this study was to determine the effects of the use of the student Learning moduLes and teachers’ guides on the facuLty and students of five nursing schooLs (two in Luzon, two in the Visayas, and one in Mindanao) that participated in the June 2002 training at SiLLiman University. SpecificaLLy, the study examined the (a) status, strategies and processes adopted by the nursing schooLs.in utiLizing the Learning tooLs, (b) the facuLty and students’ perceived beneficiaL effects and difficuLties using the foregoing tooLs, (c) the strategies used by the facuLty to overcome their difficuLties, (d) indicators used by the nursing schooLs to assess the competencies of their graduates, and (e) sustainabiLity and prospects of the continued use of the integrated tooLs in the seLected nursing institutions. Key informant interviews with schools administrators and focus group discussion with facuLty and students were the main methods used in the study. The coordinator of the Mindanao Working Group on Reproductive HeaLth, gender and sexuaLity, a consortium of tertiary academic institutions in the island, was interviewed because of the current effort of the working group in training new nursing colleges in the use of the Learning tooLs in partnership with SiLtiman University’s faculty-writers.
The findings of the study showed that only SilLiman University’s College of Nursing, the pilot institution, completely utiLized the student Learning modules and teachers’ guides. Two nursing schools partialLy used some learning tools in selected subjects. The other two schools used them mainly as references. One of these schools had developed its own psychology module which had incorporated domestic violence issues while the other had shifted to problem-based learning approach.
The learning tools were assessed by the facuLty of the schools that fully or partially used them, as student friendly. They served as eye openers to students regarding this public health issue. They claimed that students shared personal experiences in class and they discussed what they had learned with their parents and other family members. They were also able to relate with survivors during their community work. They could easily identify features of an abused woman or child and make the appropriate referrals. When students have personal domestic problems, teachers would refer them to their school’s guidance and counseling office. However, it was expressed by a nursing school administrator that the staff from this unit needed gender-sensitivity training to enable them to become more sensitive to gender and sexuality issues confronting male and female nursing students.
The students from the foregoing schools, on the other hand, claimed that the lessons regarding domestic violence broadened their perspectives and improved their skills in identifying DV situations and in understanding the contexts of survivors. Some students said that they had become advocates within and outside their families. They assessed that they would become good nurses in the future because they would be able to manage survivors of domestic violence. They also understood the situation of the DV perpetrators.
There appears to be some qualitative differences in the responses of students from schools that fully or partially utilized the learning materials compared to those who used these tools as references only. The former seem to have a better grasp of the concepts including the gender and cultural dimension of domestic violence and the responsibilities as well as nursing tasks of caring for DV survivors.
The difficulties raised by both the faculty and students were related to the contents of the modules and some logistical constraints posed by the nursing curriculum. The faculty found it difficult to follow the suggested duration or time in using each module because of the numerous additional concepts required in the nursing curriculum. They try to manage this difficulty by replacing suggested exercises with other shorter activities or by holding class discussions in laboratory classes which have more time allotment. They also noted outdated data of DV cases, policies, and programs. They managed this difficulty by searching for new or current data or by inviting external resource persons such as the police, lawyers, health professionals or local government officials. Due to current high demand for nurses abroad, the nursing schools are experiencing a rapid turnover of its faculty. This development calls for the added task of training new teachers who are not only competent but also gender and culture-sensitive in imparting the values, concepts and tools of the profession to nursing students.
Aside from dated information, some students mentioned that their lessons appeared redundant because of the practice of reviewing previous topics prior to the introduction of new lessons. Other difficulties mentioned was the absence of clear or specific guidelines on what to do when confronted with DV cases, the unattractive format and high cost of the modules (especially in the school where every nursing student was required to procure her own copy.)
No major revisions have been made regarding the contents of the modules except the update of some facts and figures. The Mindanao Working Group added new data and descriptions about the situation of Muslims and indigenous people in Mindanao to ensure that the learning materials are relevant to the social context of these population groups in the island.
No indicators were developed by the nursing schools to measure the competencies of the nursing graduates and practitioners. The nursing schools will continue using the modules in the current manner that these are utilized (either totally or partially or as references). The faculty-writers, however planned to revisit and update the modules. Aside from conducting training for nursing schools in the use of the student learning modules and teachers’ guides, the Mindanao Working Group has pushed forward the integration of gender, sexuality and RH in other academic fields (e.g., social work, mass communication and development communication)-implying that curricular integration has become a useful strategy in the inclusion of public health issues in pre-service training.
Pagsipat at Teknika ng Maikling Kuwento, Malikhaing Sanaysay, at Iskrip at mga Piling Akda
Dr. Fanny A. Garcia
Filipino Department
Sa karaniwan ay may magkabilang mukha ang pagtingin sa mga manunulat, sa larangan ng pagsusulat, particular ang malikhaing manunulat/malikhaing pagsulat.
Sa isang banda, ang romantisadong pananaw na: isinisilang sa mundo ang sadyang mga magiging manunulat, espesyal sila; isang espesyal na larangan ang pagsusulat. Nagsusulong sa ganitong pananaw ang kanonisasyon ng sistema ng edukasyon sa mgailing akda/manunulat (batay umano sa mga pamantayang unibersal; batay rin madalas sa gayo’t ganitong parangal at gantimpala sa pagsulat), gayundin ang mga patungkol na “dakilang mga akda/manunulat” ng mundo, ng gayo’t gayong bansa o lahi o panahon.
Sa kabilang banda ay ang pananaw na ang malikhaing manunulat, ang larangan ng malikhaing pagsulat ay kaugnay ng kahirapan at pagkamiserable. Ang isang manunulat ay isang nilalang na di praktikal at lagging nangangarap nang gising; sarili man lang niya’y hindi niya kayang buhayin nang komportable. Sa opinyon ng marami, maliban na lang kung may iba pang pagkakakitaan, ang malikhaing pagsulat ay isang larangang dapat iwasan.
Sa katunayan, lahat naman tayo ay mga “manunulat”; sa particular, lahat namantayo ang mga “kwentista”. Sa pagkausap natin sa iba’t ibang tao sa ating paligid, tayo ay mga kuwentista; sa pagkausap sa ating sarili ay kuwentista rin tayo. Lagi’t lagi nating di malay (unconsciously) na ginagamit ang mga pormal na sangkap ng anyo/genre ng maikling kuwento: karakterisasyon, tagpuna, plot, tema, atbp. Lagi’t lagi, at sa buong panahon ng ating buhay.
May natural na bigkis ang pagkukuwento-kuwento sa tunay na buhay at ang pormal na anyo ng mailking kuwento at masasabi ring may panlabas mang pagkakaiba ang mga anyo ng pampanitikang sanysay (literary essay) at iskrip, sa esensya ay magkakapamilya pa rin ang mga ito: pare-parehong nagkukuwento, pare-parehong may ikinikuwento. Pare-parehong may mga sangkap na kabahagi ng isa’t isa (exposisyon, dayalogo, tagpuan, plot, atmospera, atbp.) kaya ang pagiging malay sa mga kuwento-kuwento ng tunay na buhay (tagapagkuwento man o basta masugid na tagapakinig) at ang malay na pag-aaral kung paano sumulat ng maikling kuwento, matutuklasan ng maraming manunulat, ay daan na rin palapit sa pampanitikang sanaysay at iskrip.
Lahat tayo ay magkasabay na estudyante at/o praktisyoner ng malikhaing pagsulat. “Kuwentista” tayo sa tunay na buhay. Sa bawat pagbasa natin ng mga pampanitikang akda, sa bawat panonood natin ng dula/tv/pelikula, pakikinig ng mga drama sa radio ay indirek na nag-aaral na tayo kung paano magsulat sa mga anyong ito.
Bawat buhay ay mayamang bukal ng karanasan na lagi’t lagging mapagkukunan ng material na maikukuwento, maisusulat. Ang pagiging malay ng mas marami sa ating likas na pagigin “kuwentista” upang mabigyan ng nakasulat na anyo ang mayamang bukal at mina ng karanasan, mula man sa ating mismong buhay at/o ng iba, o mula sa malikhaing interaksyon ng realidad at ng imahinasyon, ay magbubunga ng mas maraming akda, mas maraming manunulat. “Hayaang bumukadkad ang sandaang bulaklak,” wika nga ng isang kilalang Asyano. Ito ang demokratisasyon sa larangan ng mailkhaing pagsulat.
Kailangang lapitan ang bukal ng malikhaing pagsulat nang walang romantisado o biased na pananaw upang tunay na manamnam at maginhawahan sa dalisay at lamig ng tubig nito.
Cyberkultura ng Kabataan sa Kamaynilaan: Isang Empirikal at Kwalitatibong Pag-aaral sa Penomenon ng Internet
Dr. Rhoderick V. Nuncio
Filipino Department
Ang pag-aaral na ito’y tungkol sa pag-unawa sa phenomenon ng Internet na tumatalakay sa demograpiya ng gumagamit nito, sa sakop at hanggang ng impluwensya nito, at sa usapin ng kapangyarihang nagpapabago sa ugnayang domestiko’t panlipunan ng kabataan. Layunin ng pag-aaral na ito na maitala ang empirical na datos mula sa masusing imbestigasyon ng penomenon hinggil sa Internet o cyberspace, at kritikal na masuri ito gamit ang iba pang metodong kwalitatibo tulad ng interbyu, at focus-group discussion. Mahalaga na makakalap o makatala ng datos mula sa administrasyon ng sarbey sa piling tagasagot sa dahilang walang malinaw at tiyak pang demograpiya o profayl na magagamit sa kung sinu-sino, ilan at kung nasaan ang gumagamit ng Internet. Sa ganitong dahilan, pinukaw ng pananaliksik ang profayl ng mga “estudyanteng gumagamit ng Internet” (EGI). Mula rito, inilapat ang isang sosyo-kultural na lapit sa pagbibigay-diin sa particular na karanasan at pananaw-mundo ng mga kabataang gumagamit ng email, chat, website, at ibang nahuhumaling sa online games.
Taliba ni Inang Bayan: Ang Makatang Mandirigma na si Diego Moxica, Isang Nabaon sa Limot na Bayani ng 1896 Himagsikan
Dr. Luis C. Dery
History Department
Paunang Salita:
Marami na ring nalimbag na pag-aaral tungkol sa 1896 Himagsikan. Subalit sa kabila nito at nang mga panawagan ng mga naunang historyador, kagaya nina Gregorio Zaide, Teodoro Agoncillo, Esteban de Ocampo, Samuel Tan, atbp. Na isulat ang kasaysayan ng lahing Pilipino mula sa maka-Pilipinong pananaw nananatili na napakarami pa ring aspeto ng nasabing makasaysayang panahon ang nananatiling nakatago sa kaalaman ng Sambayanang Pilipino. Isa sa mga ito ay ang tungkol sa napakaraming mga tunay na bayani ng 1896 Himagsikan na nabaon sa limot. Pangunahin sa kanila si G. Giego Moxica, ang tunay na nagsalin sa wikang Tagalog ng “Ultimo Adios” ni Dr. Jose P. Rizal. Layunin ng may-katha ng sanaysay na ito na ilantad ang maraming mga impormasyon tungkol kay G. Diego Moxica, lalung-lalo na ang mga tula’t kundimang kinatha niya, upang sa ganitong paraan ay maihayag ang pagiging tunay niyang bayani ng lahing Pilipino. Higit sa lahat, layunin ng sanysay na ito na bigyang-diin ang natatangi niyang katauhan-ang pagiging makatang-mandirigma niya. Sa pamamagitan ni Diego Moxica, mailalantad ang isang natatanging larawan ng 1896 Himagsikan at ito’y ang larawan ng marami sa ating mga ninunong rebolusyonaryo ang ipinaglaban ang kalayaan n gating lupang Tinubuan hindi lang sa pamamagitan ng itak, baril o sibat kundi sa pamamagitan din ng paghawak ng lapis at papel bilang sandata laban sa mga dayuhang mananakop.
The Bearer of Pax Americana: The Philippine Career of William Howard Taft, 1900-1903
Dr. Rene R. Escalante
History Department
The primary concern of the book is to discuss the political career of Taft in the Philippines. The discussions revolve around the policies and programs that he used to pacify the Filipinos and convince them to accept American rule. He is portrayed as a legislator, chief executive, troubleshooter, lobbyist, diplomat, judge and propagandist. Towards the end, the book concludes that Taft is a major character in Philippine history because he orchestrated the establishment of American colonial institution in the Philippines, an episode in Philippine history that has had great effect on the lives of Filipinos until the present time.
The main body of this research project is divided into four major parts. First, it discusses the role of Taft in the Second Philippine Commission. Specifically, it focuses on the inquiry of the Commission and its recommendation to the Committee of Insular Affairs. Second, it discusses the role of Taft in the implementation of McKinley’s “Benevolent Assimilation” policy. Taft is presented as an effective pacifier and colonial administrator. Third, the book discusses Taft’s relationship with the Catholic Church. During the first decade of American rule, the Church was beset with numerous problems and a lot of them had something to do with their property. Despite the principle of separation of Church and State, Taft intervened in all these issues and many of them were settled amicably. Lastly, the book tackles the achievements of Taft as a colonial bureaucrat. Included in the discussion are his public health programs, tariff policies, educational reforms, infrastructure projects and political innovations.
The documents used in reconstructing the career of Taft in the Philippine were mostly government publications written by colonial officials. The most significant of them are the Report of the Taft Philippine Commission, Report of the Philippine Commission, Annual Report of the Governor General, The Correspondences Between Taft and the Holy See, Senate Document 190 and the Congressional Records of the United States of America. The author also used the personal letters of Taft, which are currently deposited in the Manuscript Division of the Library of Congress. He also consulted the memoirs of some American authors who were in the Philippines during the first decade of the 20th century like Daniel Williams, Edith Moses, Helen Taft, James Blount, David Barrows, George Dewey, Charles Burke Elliott, William Cameron Forbes, Dean Worcester and a few others. To further enrich the narrative, he also consulted the leading newspapers during this period and the most useful of them are the New York Times, Manila Times, Cablenews American and the Manila American.
Understanding Policy Shift: Class Interests, Exogenous Pressure, and Policy Reform in the Philippines
Dr. Dennis D. Trinidad
International Studies Department
The paper is a theoretical discourse on policy shift, defined as the turning point or threshold by which policymaking agents abandon old policy preferences in favor of new ones. It contends that policy shift is contingent upon two factors: (1) the nature of elite interests, and (2) exogenous pressures like world prices and economic crises. The dismantling of cohesive elite interests is essential before policy shift could take place. Exogenous pressures can help achieve this by altering the settings which define these interests.
Specifically, the paper examines the liberalization of trade and investment in the Philippines as an episode of policy shift. In the 1980s, the sudden reversal of international prices of agricultural products forced many agrarian elites to abandon agriculture and shift to other more lucrative business ventures like services and manufacturing. In the process, they explored new areas of interest and formulated corresponding sets of policy preferences. Against this backdrop and under a new constitution, former President Fidel V. Ramos and his successors pursued liberalization. The trend toward further economic liberalization became irreversible due to the country’s commitment to international agreements such as World Trade Organization, ASEAN Free Trade Area, ASEAN-China Free Trade Agreement and the proposed Philippine-Japan Economic Partnership Agreement.
The S/subjects of the Nation in Philippine Kritika Dis-Courses from Lucila V. Hosillos, Bienvenido L. Lumbera, Gemino H. Abad, Soledad S. Reyes, Virgilio S. Almario, and Epifanio San Juan, Jr.
Dr. David Jonathan Y. Bayot
Literature Department
The present study is guided by two goals: (1) to represent the theory-in-praxis-towards-theory of six major Filipino critics – Lucila V. Hosillos, Bienvenido L. Lumbera, Gemino H. Abad, Soledad S. Reyes, Virgilio S. Almario, and Epifanio San Juan, Jr. – on the “national question” of Philippine literature; and (2) to argue the political usefulness of this quest to the trajectory of inquiries and understandings of this subject called “national literature,” as well as to the S/subjects who have been and will be called to this process of literally production, consumption, definition, and re-definition.
In pursuit of the national category of the “Philippine” via the dis-courses of six Filipino critics, the present project seeks to contribute to the construction of a history of the subject and the many S/subjects of “Philippine-nation.”
After a representation of the Philippine critical ground as characterized by what Isagani R. Cruz calls the phenomenon of “the other Other,” as well as re-inscription of the term in the event and eventually of “critical-in-difference.” each subsequent chapter focuses on one critic and locates his/her central trope in the dis-courses of the “nationality” of Philippine literature: Hosillos on her notion of “originality as vengeance in Philippine literature” along a concentric-comparativist framework; Lumbera on his definition of the national literature as a construct and a staging in the various stages of national assertion against colonization; Abad on his native clearing of Philippine literature, specifically, poetry in and from English; Reyes on her deconstruction and reconstruction of the “popular” room of enchantment with the modality of romance; Almario’s on his critical act c/siting of the native literary tradition as a weapon of engagement with colonial hegemony on the ground of Piedras Platas; and San Juan on his mediation of history and nation to the Filipino people in the belly of the beast.
The study sumps up the interventions of the six Filipino critics and concludes with a provisional paradigm for Philippine kritika.
Managing Work Life Balance: A Study of Selected Filipino Employees within Metro Manila
Dr. Laurene Chua-Garcia
Psychology Department
The study examined what model life balance Filipino workers employed in selected organization within Metro Manila perceived themselves as having achieved. Factors achieved to assist and hinder work life balance were also identified. Then, the perceived effects of individual and situational differences on work life balance were explored. Finally, the advantages as well as disadvantages to organizations of the achievement or non-achievement of work life balance were identified.
A total of 300 respondents coming from various businesses were used for this study. First a survey was implemented then interviews were conducted. Data collected was qualitatively analyzed.
The model of work life balance identified by most of the respondents in the study was: Work life and family life are completely independent of each other. This was closely followed with the model, which states: Work life and family life are both satisfying. Work variables, particularly financial stability, were perceived as the factors that assist in the achievement of work life balance. On the other hand, the biggest hindrance to the achievement of work life balance was the absence of career development at the place of employment that included an unsatisfactory compensation and benefits package. No significant results were obtained for individual differences such as gender and educational attainment. Situational differences such as employment and family conditions validated previous researches while contributing some interesting new insights from a cultural perspective on gender roles in the household economy and childcare. Both organizational performance and organizational productivity were identified as advantages to organizations when work life balance was achieved as well as disadvantages to organizations when work life balance was not achieved.
Factors Involved in the Use of Second Language Learning Strategies and Oral Proficiency Among Taiwanese Students in Taiwan and in the Philippines
Dr. Moises Kirk de Carvalho Filho
Mr. Carlo P. Magno
Ms. Jennifer Ann L. Lajom
Ms. Katrine Bunagan
Psychology Department
The study investigated some factors (level of exposure to second language (L2), metacognitive awareness, and country) that may affect the use of L2 learning strategies among Taiwanese students living in Taiwan and in the Philippines who use English as a second language. The learning strategies that best predict the oral proficiency in English was also investigated. The study compared 80 Taiwanese students studying in the Philippine and 66 Taiwanese students studying in Taiwan on their metacognitive knowledge awareness, language learning strategy use, and oral proficiency. It was found in the study that English exposure and country were significant predictors of second language learning strategy. Students living and studying in the Philippines with high English exposure predicts oral proficiency that their counterparts in Taiwan. Compensation, affective, memory and metacognitive language strategies significantly predict oral proficiency (R=.58) with a fair goodness of fit (Adjusted R2=.303).
Adolescent Goal Achievement in the Face of Parental Resistance
Ms. May Ann Garo-Santiago
Ms. Jan Florence Abuid
Psychology Department
This study describes early and late adolescents’ power conceptions, behaviors and resources in the face of parental resistance. Data were gathered through 4 Focus Group Discussions with two groups from the early adolescent period (11-14 years old; 8 females and 8 males) and two groups from the late adolescent period (188-22 years old; 9 females and 7 males). Qualitative analysis revealed that parents disapprove of adolescents’ goals, primarily if these interfere with academics and threaten the adolescents’ safety. To achieve their intentions, early and late adolescents both use the power of self-expression, with oppositional behaviors more common in late adolescents and appeal to emotion more apparent in females. They draw resources from personal attributes, situational factors and their peers, in order to attain their goals. Early adolescents view power strivings in more negative ways while late adolescents view these as their right and indicative of competence, especially if practiced within certain limitations. The implications of these findings in family relationships, parenting and counseling practices are discussed.
Tingguian Funerary Practices and Beliefs: Their Value-Integration Into The Family and Community Life and Possible Implications
Dr. Luis C. Sembrano
Theology and Religious Education Department
As an ethnographic study, but drawing on other historical and contemporary materials, identifies the elements of the upland Tingguian funerary practices and beliefs and describes how the upland Tingguians give importance to such practices, as well as how they integrate the values gained from these indigenous practices into their family and community.
The aim of the study is to reveal important information for missionaries, priests, and lay partners, who are engaged in the building of Christian communities among ethnic minorities or indigenous peoples.
Likewise, in order to awaken the interest among Christians on the beauty and the values of their cultural heritage which have been handed to them for many generations by their ancestors even before the Spaniards colonized the Philippines.
The research seeks to strengthen the Tingguian’s communal identity and family values as manifested in their funerary beliefs, ritual, and practices, while also aiming to enrich the Christian funerary practices by integrating Tingguian ritual practices in their liturgy.
Finally, this will also help the society to see its responsibility to enrich and strengthen the national identity through a better understanding of the culture contributed by indigenous groups.
Pangangatawan: Isang Paglalarawan ng ‘Spirituality’ sa Kontekstong Pilipino
Dr. Jose M. de Mesa
Theology and Religious Education Department
Ang pag-unawa ay pag-unawang kontekstuwal, may lugar at may panahon. Hindi naiiba ang tinatawag sa Ingles na “spirituality” sa simulaing ito. Sa dulog kontekstuwal, inuunawa ang isang bagay sa liwanag ng mga karanasang cultural at ng Pananampalatayang Hudio-Kristiyano. Sa pangkalahatan, masasabi natin na ang “spirituality” ay tumutukoy sa pamumuhay Kristiyano. Sa akdang ito, tatangkain unawain ang pamumuhay na ito sa pamamagitan ng konsepto’t katagang “pangangatawan.” Sa ganitong dulog, matitiyak ang pakikiisa natin sa mahaba at malawak na tradisyon ng Kristiyanismo hinggil sa “spirituality” sa isang banda, at ang pagkakaugat naman natin sa ating kultura sa kabilang banda.
Pagkatapos ilahad ang iba’t ibang posibleng interpretasyon ng “spirituality” na matatagpuan sa mga babasahing teolohiko, ilalahad ng akda ang kahinaan na masusumpungan sa katagang “spirituality.” Sa pagsasaalang-alang sa mga nabanggit na kahinaan, imumungkahi ng sanaysay ang isang kontesktuwal na pag-unawa sa “spirituality.” Sa pananaw na ito ang kabanalan ay naiisakatuparan sa pangkaraniwang karanasan ng mga tao sa lupa. Matapos isalaysay ang ilang mga karanasan na may kinalaman sa tinatawag na “spirituality,” ipaliliwanag sa akda ang konsepto at katagang “pangangatawan” bilang natatanging kontekstuwal na pagsasalarawan ng pamumuhay Kristiyano o “spirituality.” Ang “pangangatawan” ay ayon du lamang sa pangangatawan ng Diyos sa katauhan ni Hesus, kundi sa aktibo ring pagtanaw sa pagiging tao ng mga Pilipino.
Christianity and Culture in Asia
Dr. Jose M. de Mesa
Theology and Religious Education Department
As introduction, the project first states the focus and interconnections of the topic “Christianity and Culture in Asia.” It then discusses the significance of the changed perspective on culture from a classical view to one that is empirical, and the role of language in theologizing. The framework to illustrate the various types of relationship to culture hat Asian theologies exhibit is presented and explained next.
The typology proposed by H. Richard Niebuhr is followed. Utilizing the categories of “Christ” and “Culture,” it classifies the different ways or models of interaction between the two: Christ against culture, Christ of culture, Christ above culture, Christ and culture in paradox and Christ the transformer of culture. Two examples are given for each models. Cognizant of the weakness of the typology, the project has reinterpreted the models in the light of the actual examples of theologizing vis-à-vis culture in Asia. It has also taken into account the Asian theological concern regarding widespread poverty in Asia as well as the development of feminist theology in Asia.
The Chinese rites controversy and the rise of Dalit theologizing in India exemplify, in their own respective ways, the antagonistic stance of the Gospel towards culture. In the first denial of one’s culture is required to turn to the Gospel. And in the second illustration of the model, the Gospel is set against a culture that is experienced as oppressive.
In the Christ of culture model folk Catholicism in the Philippine and the “Madah Bakti” project in Indonesia particularize how culture, seen as fundamentally good and valuable, is utilized to give an inculturated expression to the Catholic faith. While the former may be characterized as a spontaneous process, the latter may be described as a deliberate effort.
Although the basic goodness of culture is recognized by the Christ above culture model, the Gospel is regarded as perfecting the culture. Thus, in the first example the cyclical orientation of nature in Thailand is challenged by the purposeful action of God in history. In the second illustration of the model Jesuit missionary Alexander de Rhodes is described as harnessing the values of the Vietnamese culture for the sake of the Gospel.
The twin loyalties to Gospel and culture are given expression in the model Christ and culture in paradox. “I love two J’s and no third; one is Jesus, and the other is Japan,” says Uchimura Kanzo in his theology. For him loyalty to Jesus could never mean disloyalty to Japan. The Asian theology of harmony articulated by the Federation of Asian Bishops’ Conferences also illustrates this fidelity to the Gospel, particularly its prophetic dimension, as well as to Asian values.
Two theologies of liberation are discussed in the model Christ the transformer of culture. First, the Asian feminist movement which questions the patriarchal mentality and structures both in the church and in society. Second, Aloysius Pieris proposes a uniquely Asian approach to liberation that seriously takes into account Asian poverty and religiosity in an integrated fasion.
College of Engineering
Dechlorination of Trichloroethylene (TCE) Using Zero-Valent Iron
Ms. Wilheliza A. Baraoidan
Chemical Engineering Department
Groundwater, contaminated with trichloroethylene (TCE), a suspected carcinogenic cleaning solvent, is still a global environmental concern. An efficient and economical method for the remediation of the pollutant is therefore desired. Treatment of TCE by zero-valent metals has emerged a popular technology. Iron is cheap, non-toxic, readily- available and had been found to work over a wide range of chlorinated solvents.
Reduction of TCE using zero-valent iron is promoted by the oxidation of iron. When iron is oxidized in the presence of water, electrons are released and then transferred for the dechlorination of TCE.
The general objective of this study is to investigate on the dechlorination of TCE using zero-valent iron in powdered form, and, in the form of shavings. Simulated TCE solution of initial concentration 5 ppm was mixed with iron powder, finer than 100 mesh, in 120-mL serum bottles. The pH of the solution was varied at 5, 7 and 9. The amount of iron powder was also varied at 10, 12.5 and 15 mg powder per mL of TCE solution. The water used was distilled de-ionized water. On the other hand, 50 grams of iron shavings were used as materials packed in a glass column passed with simulated TCE solutions. The thickness of the shavings was varied at 1mm, the thinnest they could be processed without breaking, and 1.5mm. The iron shavings were also subjected to different preparations: pretreated with 0.1 M NaCl solution and untreated. The water used was de-oxygenated, de-ionized distilled water. Samples taken at different intervals were analyzed for TCE and chloride ion concentrations.
Results showed a decrease in the concentration of TCE accompanied by the formation and increase in chloride ion concentration as time went by, confirming the dechlorination of TCE. Degradation was possible when the pH of the solution was 7 and below; better dechlorination was observed with the thinnest iron shavings possible and with the said shavings subjected to pretreatment with brine solution.
Paper Sludge as Replacement of Fine Aggregates in Fresh Concrete Used in Low Cost Housing Projects
Mr. Ronaldo S. Gallardo
Civil Engineering Department
The escalating generation of solid waste brought about by fast economic growth and rapid urbanization is the responsibility of all sectors of society. The problem of today’s solid waste, if improperly handled, carries implications not only for our environment but also for the health and well being of future generations. When waste ends up where it is not supposed to be, it becomes useless, causes pollution and poses health risks. When it is used and put in the right place, it becomes a valuable resource. In this study the researchers have focused their investigations on the viability of using paper sludge, an industrial waste generated by paper mills factories as an alternative material applied as partial replacement of fine aggregates in manufacturing fresh concrete intended to be used for low cost housing projects. The research will use the paper sludge from Trust International Paper Corporation (TIPCO) as partial replacement of fine aggregates material in the production of concrete, which is the most predominant and common construction product. This study focuses on the following criteria; comparison of physical properties which includes gradation, moisture content, specific gravity and absorption of paper sludge versus ordinary river sand, the chemical properties and the quality and durability of concrete with paper sludge in terms of compressive strength, tensile and flexural strength. Based from results of the study, paper sludge can be used as substitute for fine aggregates in fresh concrete but shall be limited to non-load bearing concrete products like CHB mortar filler, plastering materials, decorative mouldings and floor slabs used in low cost housing projects. The most suitable mix proportion is the 5% to 10% replacement of paper sludge to fine aggregates, which resulted in 10% to 20% reduction of concrete strength. The reduction of concrete strength can be attributed to the high water absorption and the absence of silica compound in paper sludge, which is essential for bonding and structuring of fresh concrete.
Basic Structural Performance Index of Earthquake-Damaged Reinforcement Concrete Buildings
Dr. Andres W.C. Oreta
Civil Engineering Department
Civil and structural engineers must address the need of assessing the seismic safety of existing buildings. Given the large number of buildings in the metropolis, it is clear that detailed seismic inspection and seismic upgrading or retrofitting cannot be advanced simultaneously. A detailed seismic inspection is costly and time-consuming. Seismic strengthening of existing structures is more costly. It is thus important that a brief method of seismic screening of buildings be done to determine which buildings are at greatest risk, and hence must be given priority in a detailed seismic evaluation and possible retrofitting.
The level-1 seismic screening of the Architectural Institute of Japan (AIJ) uses a basic structural performance index (BSPI) to rank low-rise to medium-rise reinforced concrete buildings according to potential seismic hazards. How to use the index to judge which buildings are potentially hazardous need to be given further study especially in the Philippine setting. The present study aims to provide information on the value of BSPI for earthquake-damaged buildings. It is assumed that if an existing building has an index close to that of a damaged building then the building may be classified as “potentially hazardous building” – meaning it should be given immediate attention for a detailed seismic inspection.
The study focuses on the evaluation of the BSPI of RC buildings damaged at Baguio City during the July 16, 1990 Luzon Earthquake. Through the documented photos of the buildings, sketches of building plans and descriptions of the damages found in the literature, an estimate was made on the BSPI of the damaged buildings at the ground floor. By knowing the index at the ground floor of the damaged buildings, a critical or cut-off value can be determined to guide the engineer or decision maker on whether a building will be subjected to a more detailed seismic inspection. Based on the study, index values between 0.2 and 0.8 were obtained for severely damaged and collapsed buildings.
Genetic Algorithm for Job Scheduling Problem
Dr. Elmer P. Dadios
Manufacturing Engineering Management Department
Genetic Algorithm Solution to Job Scheduling Problem
This paper presents solution to job shop scheduling problem for n machines and m jobs using Genetic Algorithm (GA). The objective for job scheduling problem is to meet the deadline set for each jobs and to minimize the idle time of the machines. The development of GA architecture using two parent reproduction and single offspring is presented. The effect of GA parameters such as: mutation rate, crossover rate, population size on the performance of the system is investigated. Results show that the GA technique developed is accurate and robust to solve the problem.
Genetic Algorithm Using Three-Parent Crossover for Job Scheduling Problem
The job scheduling problem is inherently complex and is categorized under the NP class of problems. In the course of finding an optimal solution, an increase in jobs for scheduling, in conjunction with all the scheduling requirements, would tend to yield an exponential rise in processing time. Due to the problem high computational demand, the aim of most system is not to find an optimal solution, but rather to find a relatively good and feasible one. It is vital to consider the time it takes to generate the schedule; an optimal schedule would render itself obsolete if not generated on time. This research proposes novel Genetic Algorithm (GA) technique using three-parent crossover to generate near-optimal schedules for the job scheduling problem. Experimental results show that GA three parent crossover gave better performance compared to the traditional GA two parent crossover approach.
Strength Curve Generation of the Biceps Muscles via Electronically Controlled Mechanism
Mr. Giovanni L. Fabian
Manufacturing Engineering Management Department
The study introduces a new concept in the generation of strength curve profiles in resistance training equipment. Rather than of using the conventional spiral off centered cam commonly used in current resistance training equipments, this study focuses on using a DC motor to be controlled by a micro controller to generate the strength curve as well as the resistance in resistance training equipment. Unlike the spiral off centered cam, the method in this study will not be hampered by the limitations imposed by missing a mechanical component that usually lack flexibility in theses equipments. The concept of this study will be demonstrated in a barbell curl exercise, although the concept can also be applied to other forms of resistance training equipments. With this study, a new and flexible alternative in the generation of strength curve profiles in resistance training equipments can be offered.
Development of a MATLAB-Based Controller for the CRS Robotics A255 Robot Arm
Mr. Arthur Pius P. Santiago
Manufacturing Engineering Management Department
This study focuses on the development of a Windows-based controller for the CRS Robotics A255 Robot Arm. Previously, the controller interface for the robot arm is DOS-based making it difficult to use. The result of this study is a user-friendly controller which utilizes a graphical user interface (GUI) generated by MATLAB with the use of the Robot Toolbox by Peter Corke. Movements modeled on the host computer are then mimicked by the robot arm. In driving the robot arm’s motors, an external circuit was built using LM628 motion controller ICs. All data exchange between the host computer and the external circuitry is done through serial communications. Comparison between simulated movement and actual robot movement and behavior were used to gauge the effectiveness of the robot arm controller.
A Combinatorial Optimization Model for Selection of Technological Alternatives on a Life-cycle Basis: Application to Power Generation with Carbon Sequestration
Dr. Raymond Girard R. Tan
Chemical Engineering Department
Dr. Alvin B. Culaba
Mechanical Engineering Department
Choice of technological alternatives in a life cycle system is modeled as an integer programming problem. The resulting model is an extension of the formalized matrix-based computational LCA described in the work of Heijungs and SUh (2002). A case study on the minimization of greenhouse gas emissions from coal-fired generation of electricity with carbon dioxide capture and storage (CCS) is used to illustrate the modeling approach. The resulting integer program is solved using swarm intelligence methods to determine the optimal solution.
College of Science
Assessment of Genetic Diversity in Tectona Philippinensis Benth, & Hook .f. Inferred from TRNL Intron Sequences
Dr. Esperanza Maribel G. Agoo
Biology Department
Genetic diversity within and among three populations of Tectona philippinensis Benth & Hook.f. (Philippine teak) is analyzed based on trnL intron sequence variations. Leaf samples were collected from Luzon Mainland (Lobo and San Juan (Batangas) and Iling Island (Occidental Mindoro). DNA extraction, PCR amplification, DNA sequencing, sequence alignment and genetic variation statistical analysis were consequently conducted. The cluster analysis show that the three populations are homogenous with unique sequences expressed in some Iling Island individuals. Phenetic dendrograms also show that the sequences of the Philippine teak are unique from its close generic relatives in the family Labiatae. But as a species, no particular (sub)population, as a whole or collectively, shows affinity to these generic relatives. Sequence polymorphism analysis also show that there is only one population for the species with a tendency to develop two subpopulations, i.e. Iling subpopulation and San Juan-Lobo subpopulation. The lower nucleotide diversity within the San Juan individuals and within Lobo individuals indicate that these mainland (sub)populations are relatively derived compared to the Iling group. In-situ and ex-situ conservation efforts should take into account both the island and mainland (sub)populations.
The Colonizing Plants in the Lahar-Covered Areas: Vegetation Analysis And Protein Profile of Selected Plants
Dr. Josefina B. de Jesus
Biology Department
The present study is made up of two parts: (1) Vegetation analysis and (2) protein profile of selected plants. Vegetation analyses were conducted in two sites in the lahar-covered areas to determine the dominant plant species and the variety of plants present. The two sites were: a disturbed site in Barangay Mancatian, Porac, Pampanga and a less disturbed site in the vicinity of the crater via the Capas, Tarlac route.
A total of 33 species were identified from both sites, majority of which belong to Families Asteraceae and Poaceae. In the lahar area of Barangay Mancatian, there were 14 identified species while there were 24 species in the vicinity of the crater . Results of the vegetation analyses showed that during the first and second years of vegetation analysis in Barangay Mancatian, the dominant species were Saccharum spontaneum, Calopogonium mucunoides, and Rhynchelytrum repens. In the vicinity of the crater, however, Trema orientalis, Imperata cylindrical and S. spontaneum were the dominant species during the first year of vegetation analysis, and in the second year T. orientalis, Mikania cordata and S. spontaneum were the dominant species.
Lahar contained high amounts of aluminum, calcium, magnesium and sodium (> 1000 mg/kg DW) and very low amounts of boron, cadmium, cobalt, chromium, copper, lithium, molybdenum, nickel, lead, sulfur, strontium and zinc (0-100 mg/kg DW). Elements with concentration ranging from 100 – 1000 mg/kg DW include carbon, hydrogen, potassium, manganese, nitrogen and phosphorus. The concentrations of nitrogen, phosphorus and potassium in lahar were considered low relative to agricultural productivity.
Within 2 years of vegetation analysis in Barangay Mancatian, S.spontaneum, R. repens, C. mucunoides, Tephrosia sp., and B. barbata persisted. In the vicinity of the crater, 12 species persisted during the second year of vegetation analysis consisting of P. calomelanos, B. pilosa, C. crepidiodes, Erigeron sp., L. dentate, M. cordata, C. brevifolius, I. cylindrical, P. polystachyum, P. paniceum, S. spontaneum and T. orientalis.
Comparison of protein profiles obtained from leaf tissues at a given condition and at a particular collection time indicates similarities and differences in terms of molecular weight and intensity of expression. Of the many species assayed in the present study, protin expression was more intense at the ~66.2 kDa of C. pubescens and S. saman and the ~100 kDa of R. repens and P. polystachyum.
Priority Reef Areas in the Eastern Seaboard of the Philippines for Marine Protected Area Deployment
Dr. Wilfredo Roehl Y. Licuanan
Biology Department
Protection of marine biodiversity and sustainable fisheries are inexorably linked in coral reef habitats in the Philippines. This is consequence of the wide variety of species exploited in the country, coupled with the complex interrelations among species and their habitat typical of tropical systems such as coral reefs.
Unfortunately however, the Philippines is considered a biodiversity “hotspot”, recognized on the basis of both unusually high biodiversity and high risk to that diversity. Hope springs from the increased numbers of marine protected areas (MPA) that have been set up in the country to arrest the decline of habitat quality and fisheries yields. However, even if scientific information to guide MPA deployment is available, criteria by which potential MPA sites can be selected need to be refined and adapted to local situations. As a step towards this goal, site evaluation and MPA prioritization was conducted for 35 geographical locations in the Philippine Pacific coast. A biodiversity index that incorporates abundance and degree of endemism was combined with a biodiversity risk index based on proximity to human population centers and typhoon impact is introduced here to produce a ranking of the geographic locations. These indices were then applied to data on corals, reef fishes, seagrass, and seaweeds from the 35 geographical locations. The locations that yielded the ideal high biodiversity-low risk values included Northern Samar, Masbate, Eastern Samar, and Davao Oriental. These areas need to be put under protective management. The approach introduced here also highlighted unique features of the other locations, illustrating its utility in allowing for a more objective evaluation of sites for possible MPA deployments.
Molecular Characterization of Extended-Spectrum B-lactamases (ESBL) of Enterobacteriaceae Isolates from Cases of the Philippine General Hospital
Dr. Esperanza Cabrera
Biology Department
Enterobactericeae isolates comprised of Escherichia coli, Klebsiella pneumoniae, Klebsiella ozaenae, Enterobacter cloacae and Enterobacter aerogenes collected from cases of the Philippine General Hospital from June 2000 to August 2001, and found to be ESBL-producing using the double-disc synergy assay were studies for molecular characterization of the ESBL. Polymerase chain reaction of extracted plasmids showed the presence of SHV-derived ESBL in all of the 32 isolates studied, with 11 also carrying the classical non-ESBL blaTEM gene identified to be that of TEM-1 on sequencing. Nucleotide sequencing identified these ESBL as SHV-12, showing the typical L35Q, G238S and E240K mutations. Isoelectric focusing demonstrated the ESBL protein to have a pl of 8.2 after staining with nitrocefin and inhibition studies with clavulanate, confirming the SHV-12 identity. None of the plasmids from cefoxitin resistant isolates produced amplified products using CMY primers for the AmpC gene, suggesting that this may be carried in the chromosome and not in the plasmids of the isolates.
Synthesis of Tetrathiafulvalene Derivatives with Bromo m-XYLYL and Acetylated Glucose Units: Precursors to Tetrathiafulvalene Macrocycles
Dr. Glenn V. Alea
Chemistry Department
Two tetrathiafulvalene derivatives, tetrathiafulvalene with two bromo m-xylyl substituents (1) and tetrathiafulvalene with two acetylated bromo-glucopyranosyl substituents (2) were synthesized. The synthesis involved the preparation of the cyanoethyl protected tetrathiafulvalene (10) from zinc complex (6) in five steps. Deprotection of (10) using cesium hydroxide and the reaction of the resulting dithiolate with 2.5 equivalent of , ‘ m-xylyldibromide yielded 8.408% of (1), while the addition of 1-bromo-2, 3, 4-tri-O-acetyl-6-iodoglucopyranoside (13) to deprotected (10) produced (2) in 16.19% yield. The TTF derivatives (1) and (2) may be used as precursors to the synthesis of macrocycles containing phenyl and/or sugar units.
Gaussian Calculations of 13-C NMR Spectra of Isovoucapenol A,B,C, and D
Dr. Martin C. Ilao
Chemistry Department
Ab initio methods were used to calculate the absolute and relative chemical shifts of the carbon atoms in isovouacapenol A-D. The geometry was optimized at the RHF/6-31G(d) level. Then the nmr shielding tensors were calculated with use of the Gauge Including Atomic Orbital (GIAO) method using the density functional theory (DFT), particularly B3LYP/6-31G(d). The chemical shifts relative to tetramethylsilane (TMS) were obtained upon subtraction from the absolute chemical shifts of TMS, which were obtained at the same level of theory. The calculated values at 6-31G(d) level are found to be systematically lower than the experimental values. The H-NMR chemical shifts were also obtained but the coupling constants were not calculated. The results also show that calculated H-NMR shifts are generally lower than the experimental values, except where magnetic anisotropy may have exerted a significant role. Solvent effects have not been included in this analysis.
Size and Monodispersity Variations of Silver and Copper Nanoparticles Synthesized Via Microwave Irradiation
Dr. Nikko P. Quevada
Chemistry Department
Ag nanoparticles were synthesized through solution-phase chemical reduction of AgNO3 via microwave irradiation. Polyacrylic acid (PAA) and polyvinyl pyrrolidone (PVP) were used as capping agents with water and ethanol as solvents, and sodium citrate, ethylene glycol, and NaBH4. The microwave heating time, microwave heating power, AgNO3 concentration, reducing agent concentration, capping agent concentration, and molar ratio of reducing agent to Ag nitrate, were optimized in cases where Ag nanoparticles were successfully synthesized. The use of PAA and sodium borohydride (NaBH4) with water as solvent led to the synthesis of spherical Ag nanoparticles in the range of about 10-100 nm. The Ag nanoparticles produced were characterized using scanning electron microscopy (SEM) and UV-VIS spectrophotometry.
Radiation Force Exerted on Nanometer Size Non-Resonant Kerr Particle by a Tightly Focused Gaussian Beam
Dr. Romeric F. Pobre
Physics Department
We calculate the radiation force that is exerted by a focused continuous-wave Gaussian beam of wavelength l on a non-absorbing nonlinear particle of radius a << 50 l/p. The refractive index of the mechanically-rigid particle is proportional to the incident intensity according to the electro-optic Kerr effect. The force consists of two components representing the contributions of the electromagnetic field gradient and the light scattered by the Kerr particle. The focused intensity distribution is determined using expressions for the six electromagnetic components that are corrected to the fifth order in the numerical aperture (NA) of the focusing objective lens. We found that for particles with a < l/21.28, the trapping force is dominated by the gradient force and the axial trapping force is symmetric about the geometrical focus. The two contributions are comparable with larger particles and the axial trapping force becomes asymmetric with its zero location displaced away from the focus and towards the beam propagation direction. We study the trapping force behavior versus incident beam power, NA, l, and relative refractive index between the surrounding liquid and the particle. We also examine the confinement of a Kerr particle that exhibits Brownian motion in a focused beam. Numerical results show that the Kerr effect increases the trapping force strength and significantly improves the confinement of Brownian particles.j
SY 2005-2006
COLLEGE OF BUSINESS AND ECONOMICS
Perceived Organizational Effectiveness of Labor Unions in the Banking, Hotel, and Manufacturing Industries
Divina M. Edralin
Business Management Department
A trade union is a continuing, permanent, militant, and democratic organization created and run by workers to protect themselves at their work, to improve the conditions of their work through collective bargaining, to seek to better conditions of their lives, and to provide a means of expression for the workers’ views on the problems of society.
Unions, like any other organization, are composed of people, structure, processes and other resources utilized to achieve certain goals. These unions operate within a set of dynamic and complex macro external systems like the economic, social, political, and legal environment. The reality that trade unions are one of the major actors in the industrial relations system makes the sector an interesting aspect to investigate.
The general objective of this research is to determine the extent of influence of the organization’s context and structure factors on the perceived organizational effectiveness of labor unions in the banking, hotel, and manufacturing industries in the National Capital Region. It also compares the level of perceived union organizational effectiveness based on the type of industry to which the unions belong. Lastly, the study identifies other perceived qualitative factors that had facilitated and/or hindered the effective performance of the union based on the five organizational indicators.
In this research, organizational effectiveness refers to the extent to which the union members believed that the union objectives have been achieved and adequate activities have been implemented per program, it also refers to whether duties and obligations expected of members are complied with, members’ relationships are cohesive, and the members are satisfied with the union as a whole. The perceived effectiveness of the union is measured as the mean (X) response to the five organizational indicators using a 5-point Likert scale.
The specific model in this assessment effort is based on the work of Pugh, Pheysey, and their colleagues in the Aston group in 1972. It is a sociological approach to the study of organizations (Hausser, 1980).
A total of eighty-eight local unions consisting of 772 rank and file and supervisory union members from eighty-two firms in the NCR were covered in the survey. The collected data were initially analyzed using descriptive statistics like frequency, percentage, and means. To test significant difference in the mean ratings by type of industry, the ANOVA with F-test was applied. To determine the extent of influence of the context and structure factors on the level of union organizational effectiveness, the Stepwise Regression analysis was used.
It is evident from the results that the level of union effectiveness as perceived by the members is a function of two major organizational factors, namely, context (type of ownership, type of industry, and number of union members) and structure (number of years as union member). Moreover, there are significant differences in the average level of effectiveness rating of unions per industry. Unions in the hotel industry were rated highest, followed by those in the manufacturing, and then the banking sector. However, it is interesting to note that across the three industries, the unions’ average performance is very effective.
Based on the findings, the following recommendations are proposed to ensure that unions’ effectiveness will substantially increase over the years to be able to continue protecting the workers’ rights and representing them in collective bargaining negotiations with employers for increased wages, better benefits, and improved working conditions, thus eventually influencing the standard of living of Filipino working people and their families. These recommendations are strengthening union organizing and recruitment; institutionalizing tripartism and social dialogue; capacity building; and strengthening collective bargaining.
Forecasting International Demand for Philippine Tourism
Cesar C. Rufino
Economics Department
Accurate prediction of the number of international tourists that will visit the country in the future is an absolute requisite for effective tourism planning. For a country as well-endowed as the Philippines, having all the potentials to become a force to reckon with in international tourism, effective planning is sorely needed. The government for its part has not been remiss in formulating tourism plans and strategies over the years, yet the country has been a favorite “whipping boy” in this area among its lesser-endowed neighbors in the South East Asian region – the world’s fastest growing tourism region in 2004.
A myriad of reasons may be put forward by analysts of various persuasions as to why the country is languishing in mediocre performance in attracting foreign visitors. One of these reasons perhaps is poor planning, or to be more specific, poor anticipation of the international tourism demand for the country. Estimates of the expected future demand constitute a very important element in all planning activities. In the context of tourism, accurate forecasts of tourism demand are essential for efficient planning by tourism-related businesses, particularly given the perishable nature of the tourism product and the highly seasonal character of its occurrence.
This study is an attempt to develop and operationalize empirical time series forecasting models for the monthly number of tourists coming from the top twelve source countries in Philippine international tourism. Employing a framework that takes into account all of the possible influential events that may impact on the level and direction of arrival series, together with a reliable procedure of modeling background noise, the study is able to establish twenty-four forecasting models that have passed all conventional econometric model selection criteria. Twelve of these models (ex-post models) were used in out-of-sample assessment, and the other twelve (ex-ante models) were used in predicting future visitor arrivals from each of the twelve countries. An estimation procedure to determine the Philippine aggregate demand for international tourism is also proposed.
Using three future arrivals scenarios, the models predict a banner year for Philippine international tourism for 2005: Most Likely Scenario – 2,560,770 visitor arrivals; Worst Case Scenario – 2,298,748 visitor arrivals; Most Optimistic Scenario – 2,843,999 visitor arrivals. Even the most pessimistic prediction surpasses the all-time single-year arrival record high of the country of 2,222,523 visitors achieved in 1997.
The short term accuracy of the models was demonstrated in the study by using the just-released tourism arrivals statistics for June 2005. A combined twelve country forecast (under the most likely scenario) generated by the ex-ante models for June arrivals differs from the official Department of Tourism (DOT) figure by a mere 371 tourists (Forecast: 176,850 arrivals vs. Official Figure: 177,221 arrivals), or a prediction error of only 0.21 percent.
Common Stock Listing Abroad: The Philippine Case
Leila Calderon-Kabigting
Financial Management Department
To develop the Philippine capital market, there should be more products available to investors. One way is to have dual listing for some stocks. The goal of this paper is to study the stock price performances and change in risk exposure associated with cross listing of Philippine stocks abroad. Thus, we posit the problem: How do Philippine stock returns with cross listing perform during announcement date, listing, and 1 year after listing date? (Note: The terms “cross listing” and “dual listing” are used interchangeably in this study.)
To answer the above problem, the following hypotheses were validated. The first one is to find out if the decision of these companies to list abroad is consistent with wealth maximization through changes in returns brought about by dual listing. International asset pricing models suggest that expected returns decrease as prices are bid up when investors expect barriers to investments to be removed (Foerster and Karolyi 1999; Errunza and Losq 1985).
Aside from the United States being a major money center, a Philippine company listed in the PSE may want to list in the New York Stock Exchange (NYSE) in order to: 1) gain greater access to foreign capital (Yamori and Baba 1999; and Mittoo 1992); 2) broaden investor base (Merton, 1987); 3) increase institutional ownership; and 4) increase analyst coverage. (Reviewer’s comments, 2003 as modified by Kabigting, 2005 and Lago, 2005.)
A Philippine company that is considering being listed abroad may encourage investors to review the company based on fundamentals. Initially, the dual listing may bring wealth to investors through abnormal returns and changes in barriers- thus changing market expectations. The abnormal returns may result in an increase in wealth of the investor. With investor recognition increasing, abnormal returns or excess returns will temper because this is the normal market dynamic. However, wealth maximization for the Philippine company can be measured through Earnings per Share (EPS) growth, cash yield or Price/Earnings Growth, which will depend on the listed company’s performance (Lago, 2005). While wealth maximization via share price movements is an investor’s primary objective, it may not really be an issuer’s primary factor when listing abroad (Lago, 2005). Dynamic movement in the market as well as the flow of information creates movement both in price and volume (Merton 1987). Thus, pricing of foreign-listed shares is more often linked to home country developments or to home stock prices brought about by underlying supply-demand and pricing dynamics.
Thus, in order to properly examine the market segmentation hypothesis, the price effects around interlisting announcements were examined. Two concepts were tested:
Ho: There is no significant difference between returns on announcement and listing dates.
Ha: There is a significant difference between returns on announcement and listing dates.
The studies of Yamori and Baba (1999) and Mittoo (1992) cite that one benefit of cross listing is a wider investor base. Here, the researchers determine the relationship between returns of stocks with dual listing and investor recognition. Merton’s (1987) investor recognition hypothesis of capital market equilibrium is different from the Sharpe-Lintner CAPM in that investors consider only securities of which they are aware, an assumption of incomplete information. With this assumption, Merton shows that expected returns depend on factors other than just market risk. The investor recognition hypothesis of Merton (1987) suggests that the abnormal returns experienced by firms pre- and post- listing period may be due to changes in the shareholder’s base, adjusted by the stock’s residual variance and relative size (Foerster and Karolyi, 1999). Merton (1987) shows that expected returns decrease with the size of the firm’s investor base, which he characterizes as the “degree of investor recognition.”
Ho: There is no significant relationship between returns of stocks with dual listing and investor recognition.
Ha: There is a significant relationship between returns of stocks with dual listing and investor recognition.
Using the event study methodology and Foerster and Karolyi’s (1999) study, it was found that there are abnormal returns both in the pre-announcement period extending up to the post- listing periods. However, daily abnormal returns can fluctuate from positive to negative within these periods. Based on the F-tests, there is no significant difference in the abnormal returns in the announcement and listing dates.
Overall, it was found in the pre-listing period that the beta of the local market excess return is greater than the beta of the global market returns for Benguet, Ionics, and PLDT. By contrast, the post-listing local market beta drops considerably for Benguet, Ionics, and PLDT. The key finding here is that with dual listing, the risk in both local and global market may diminish. However, in companies that have increases in local and global market risks, these increases are minimal, and can be deemed as insignificant.
In summary, the measures of abnormal returns for a cross section of global listings were computed before, around, and following their listings in the New York Stock Exchange (NYSE), Singapore Stock Exchange (SGX) and Toronto Stock Exchange (TSE). The pattern of a pre-listing price run-up, listing week increase, and post-listing decline is robust.
The change in the degree of investor recognition (Dl) is negative for all firms with an increase in shareholder base. This means that dual listing leads to more markets and increased investor recognition. The changing betas reflect changes in the assessments by marginal investor of the domestic and global risk exposure of the firm and as a result, changes in the market’s expectation of its future returns.
Human Resources Management Practices in CEAP Member Schools (HEIS)
and Faculty Desire for Union Representation
Jocelyn P. Cruz
Commercial Law Department
It is a fact that the adversarial nature of union administrators results in different strategies to prevent union formation. On the other hand, because of the legislative structure and economic factor, faculty members seek for stronger means to represent them.
The study looks at the link between human resource management practices and faculty members’ desire to form or organize a union.
Few studies in the Philippines have dealt with unionism in the educational sector.
Working with In-Laws: When Does It Go Well?
Ma. Andrea L. Santiago
Business Management Department
The issue of whether to include in-laws in the business is one that pervades many family businesses. There are those who are adamant that no in-laws should be allowed, while others are more open to it. This sometimes leads to conflicts that affect the family relationships.
There are very few empirical studies on in-law participation. On occasion there are in-law stories printed in newspapers or even pages on some books on family business. For some reason, academic research has been quite limited. Thus, families looking for quick answers to this nagging question are unable to find the answers.
This research documents the experiences of 114 in-laws in sixty-two companies. Based on interviews with over 300 family members, in-laws included, it has become apparent that it is a mixture of factors that influence the nature of in-law experience. The quality of in-law experience is shaped by in-law characteristics, his/her reason for joining the family business, his/her degree of involvement, and the family business configuration. The configuration takes into account the dynamics of the interlocking family, business, and ownership systems.
Perhaps the greatest contribution to literature is the discovery that in-laws hold a temporal position in the family. It is only when in-laws integrate so well with the family that they become subject to the same treatment as those in the bloodline. Otherwise, many families expect that in-laws be competent, know their place, and cannot sit in the board.
This study reveals the dynamics of families and their in-laws. What is so important to families is that in-law participation must not disrupt family harmony, which after all, is one of the measures of success in a family business. It should be remembered however, that like all relationships, the participation of in-laws can only be satisfying with mutual respect and commitment.
COLLEGE OF EDUCATION
Conceptions of Giftedness Among Tagalog-Speaking Filipinos
Barbara Wong-Fernandez
Counseling and Educational Psychology Department
Ma. Alicia Bustos-Orosa
Counseling and Educational Psychology Department
The Philippines, a geographically and ethno-linguistically diverse country, has long undertaken initiatives in identifying and educating gifted individuals. The preponderance of psychometric assessments in identifying gifted individuals has been noted in previous studies. However, research investigating indigenous conceptions of giftedness has been scanty. This study discusses the influence of more recent conceptions of giftedness related to developmental and cognitive theoretical explanations. Moreover, it delves into conceptions of giftedness within a cultural context and underscores the critical influence that traditional culture, values, and practices have on these conceptions.
Piloting a Peer Literacy Program Under the NSTP-CWTS
Remedios Z. Miciano
Department of English and Applied Linguistics
To pilot a peer literacy program implemented through the NSTP-CWTS, a pretest-posttest study was conducted involving seventy students from Arellano High School as tutees and twelve CED students as tutors of some reading strategies. The results suggest the lack of impact of the Program on the Reading Grades of the tutees. Two major factors that could explain the result are the very poor attendance in the tutorial sessions and the low English proficiency of the tutees. Other problems were identified by the tutors and based on these, the study suggests ways to improve the content and delivery of future Peer Literacy Programs.
Teachers’ Guide to Critical Thinking Through Reading and Writing
Maria N. Cusipag
Charito Aglaua
Corazon V. Balarbar
Marilu R. Madrunio
Remedios Z. Miciano
Leonisa A. Mojica
Regina L. Shimamoto
Department of English and Applied Linguistics
The Teacher’s Guide to Critical Thinking Through Reading and Writing contains a variety of activities designed to help teachers, especially the English I teachers, in the teaching of the different selections contained in the students’ textbook entitled Critical Thinking Through Reading and Writing. The selections had been carefully chosen for students in education, communication arts, psychology, engineering, computer science, accounting, business, economics, international studies, and management of financial institutions.
Topics on critical thinking, strategies in reading, and the rudiments of composition writing are covered in the Teacher’s Guide. It is a collection of lesson plans that teachers may refer to. Instructions on how to go about the different activities are explained in detail; however, variations may be made depending on the creativity of the teacher.
Each of the lessons consists of Objectives, Background Information for Teachers, Techniques and Procedures, and an Answer Key.
The objectives are given in behavioral terms depending on the skill intended to be taught. Such skills may be in reading or writing.
The background information for teachers includes important concepts that the teachers may use in teaching the reading selection and the writing activities. Sources for the information came from the writers’ rich experiences in teaching the course or from varied references.
The section on techniques and procedures gives teachers opportunities to try out the lesson plans using varied approaches. Creative or well-trained teachers may modify the lesson plans prepared in order to suit the ability of their students.
The last section, the answer key, may vary according to the interpretation of the student. A few items may require group or individual answers.
The Physical Education Instructional Manual – The Series
(The DLSU-PE Teams – Basic Basketball)
Elizabeth D. Mascardo
Melanie Cecile S. Juliano
Physical Education Department
The focal point of the PE Teams – Basic Basketball course is to allow the students to spend time playing together as a team more than practicing individual skills inside the classroom. The new scheme will provide the students an opportunity to harness their people skills and boost their ability to become team players to attain the squad’s goal.
This instructional manual is designed for the use of both teacher and student of the PETeams – Basic Basketball class of DLSU-Manila and later on, the DLS System. It is equipped with guidelines on how to execute the different individual basic skills, and the inclusion of numerous team-play drills in the manual will help make the class more active. The student is encouraged to immediately practice the individual skills often during his free time to ensure satisfactory performance during group drills. Fitness and Basketball skills tests are located at the back of the manual. The student may start his preparation for these practical tests even before the term formally opens. The supplementary topics (e.g., training principles, basketball injuries, ergogenic aids, sport nutrition, and others) will raise the student’s awareness of the importance of academic information in further understanding and appreciating the sport.
Developing Conceptual Understanding of the Limit of a Function in Introductory Calculus
Auxencia A. Limjap
Science Education Department
This study looked into the development of conceptual understanding of the limit of a function among six BSE math college freshmen taking up introductory calculus. In the spirit of the APOS theory (Action, Process, Object, Schema) by Dubinsky and his colleagues in the Research on Undergraduate Mathematics Education Community (RUMEC), teacher-made activities were designed to ensure the development of mental constructs among the students. A genetic decomposition was used to guide the instructional approach to the topics. This study hypothesized that the students should be grounded on a strong concept of functions for them to be able to build a strong dynamic notion of the limit of a function.
None of the participants had a strong across-time understanding of functions. As hypothesized, all six participants of the study failed to understand the formal definition of the limit of a function in terms of epsilon and delta. They had colloquial personal notions of the limit of a function that are logical and coherent. In spite of their inability to understand the formal definition of the limit, two out of six students were able to interiorize their action notions into process notions, which they were able to deencapsulate into object notions. They were also able to put all action, process, and object notions into a schema. However, they needed a lot of scaffolding from the teacher. One out of the six remained at the action level of understanding limits. One out of six also needed a lot of scaffolding, but failed to transform his static notions into action notions of the concept.
Direct and Indirect Effects of Perceived Parenting Characteristics on Mastery Goals
Allan Benedict I. Bernardo
Science Education Department
Mastery goals have been shown to be an important achievement goal that leads to positive learning outcomes. The study explores the relationship between three parenting characteristics (emotional support, autonomy granting, and high demands) and Filipino students’ mastery goals. Two possible mediating effects of two variables (competency valuation and orientation of achievement motivation) are also explored. Participants were asked to complete a questionnaire inquiring into the different variables, and data from 129 participants who grew up with both parents were analyzed using descriptive statistics, correlations, multiple regression, and path analysis.
The results indicate different pathways linking each of three parenting characteristics with mastery goals. Emotional support directly related to mastery goals, but also linked to individual oriented achievement motives (IOAM) which related to mastery goals. Autonomy granting negatively related to mastery goals, but also linked to competency valuation and IOAM, both of which related to mastery goals. High demands were not directly related to mastery goals, but were related to IOAM. The results are discussed in terms of how parenting characteristics might foster the development of beliefs and orientations that may promote mastery goals among students.
COLLEGE OF ENGINEERING
Development of a Robust Procedure for Network Synthesis in Water and Hydrogen Allocation Problems
Raymond Girard R. Tan
Chemical Engineering Department
Dennis E. Cruz
Industrial Engineering Department
Prior work has demonstrated the applicability of Zimmermann’s Symmetric Fuzzy Linear Programming (SFLP) as a robust method for designing near-optimal reuse networks for industrial water conservation under conditions of data uncertainty. The procedure has been shown to be suited for single-component retrofit problems formulated either as mass exchange or source/sink superstructures. Three extensions of the concept that have been subsequently developed are described in this paper. The first is the use of methodology for design problems involving multiple components or water quality parameters. The second variant shows the use of SFLP for property pinch problems, in which water quality is described not just in terms of component concentrations but more generic properties such as pH or temperature as well. These first two variants represent a major step in enhancing the usefulness of the method in solving realistic industrial water reuse problems, where multiple conditions have to be met to ensure the suitability of water for feeding to a water-using process. The third extension shows how SFLP can be used in solving hydrogen pinch problems encountered in integrated petroleum refineries. This new application is made possible by the fundamental similarity between water and hydrogen stream allocation problems involving multiple sources and sinks.
Optimal utilization of hydrogen streams in refineries using process techniques is necessary as the rising cost of high-grade crude oil forces companies to use feed stocks of lower grade. Lower grades of crude oil can be used to make petroleum products of the desired quality level through a variety of thermo-chemical conversions such as hydrocracking and hydrotreating. Optimal allocation of hydrogen streams of required flowrates and concentrations can be done using different integration techniques, including mathematical programming. In practice, accurate stream data is not always available. Synthesis of hydrogen allocation networks under such conditions of uncertainty can be done using SFLP. This approach, which was originally applied to water allocation problems, is demonstrated using a hydrogen integration problem from literature.
Dry Separation of Polyethylene Terepthalate (PET) from Ternary Plastic Mixture Using an Air Table
Susan A. Roces
Chemical Engineering Department
The popular use of plastic products has resulted in the alarming accumulation of plastic waste. Since incineration has been banned in the Philippines by virtue of the Clean Air Act of 1999, the next best alternative to remedy this environmental problem is to recycle. Among the first steps in recycling plastics is to separate them into resins of the same kind. Hence, the study tried to determine the optimum conditions for the separation of polyethylene terepthalate (PET) flakes from polypropylene (PP) and high-density polyethylene (HDPE) resins in a ternary plastic mixture. Using a fabricated air table, separation into three streams were observed under various conditions. Specifically, the runs were observed based on the effects of changing air velocity, frequency of vibration of the air table, and elevation of the shaking plate. Experimental results showed 100% PET recovery for all runs at different set parameters; however, PP and HDPE impurities were noted. The highest recovery both for PP at 54% and HDPE at 87% was observed at the highest angle of inclination of 7.6o, highest airflow rate of 1 m/s, and highest frequency of 2 Hz. Multiple regression showed that angle of inclination and vibration frequency were the two factors that most affected the separation process. Therefore, the optimum recovery with the least impurities for pure PP and HDPE was said to be attainable at a vibration frequency greater than 2 Hz and at an angle of inclination greater than 7.6o.
The researcher, however, recommends that other parameters be considered, such as the shapes and sizes of the particles to be separated; and that the motor frequency and angle of inclination of the vibrating table be increased, to further improve the separation process. Other parameters that should be considered are the buoyancy, drag force, friction, particle velocity, and diameter of the holes on the shaking plate, in order to fully apply the hydrodynamic analysis in this dry separation technique.
Predicting the Compressive Strength of RC Circular Columns Confined with Steel and/or Carbon FRP Using Neural Networks
Jason Maximino C. Ongpeng
Andres Winston C. Oreta
Civil Engineering Department
Experiments have shown that passive confinement due to steel or carbon fiber reinforced polymer (CFRP) enhances the compressive strength of circular concrete columns. The accurate prediction of the ultimate confined compressive strength of concrete columns is very important, especially when this value is used in estimating the capacity of structures. Since experimental data on confined concrete columns are readily available in the literature, it may be useful to combine and reanalyze them to develop empirical models that can give reasonable predictions of the confined strength of circular concrete columns. However, the many factors that affect the confined compressive strength of circular concrete columns makes modeling for predicting this confined strength difficult, especially when both steel reinforcements and carbon fiber reinforced polymer (CFRP) are used as confining materials. The study presents modeling using artificial neural networks (ANNs) to predict the compressive strength of circular concrete columns confined with steel reinforcements and/or CFRP.
Development of a Design Chart for Biaxial Bending of Reinforced Concrete Columns through Fiber Method Modeling
Bernardo A. Lejano
Civil Engineering Department
Analysis and design of reinforced concrete columns with biaxial bending are difficult because a trial and adjustment procedure is necessary to find the inclination and the depth of the neutral axis, which satisfy the equilibrium conditions. This study addresses the problem of accurately predicting the behavior of a column section with biaxial bending to be able to establish its capacity at the ultimate stage through fiber modeling. The fiber method has been found to be an effective method in predicting the flexural response of reinforced concrete members, especially when bending moments and axial loads dominate the behavior.
In implementing the fiber method, Bazant’s Endochronic theory was used as a constitutive model for concrete and the Ciampi model for steel. The effects of different structural parameters were considered in the established interaction surfaces. However, the study was limited to numerical analysis of rectangular reinforced concrete columns with symmetrical reinforcement. The strength of concrete considered was from 21 MPa (3000 psi) to 62 MPa (9,000 psi). The result of the fiber method modeling was in agreement with some available experimental data. The development of interaction diagrams for biaxial bending of column sections will provide structural designers an alternative way to analyze and design such column sections. This will not only make the design work easier but also increase the accuracy, and in turn provide greater safety to the structure.
Study on the Use of Natural Short Fibers as Reinforcement in Concrete with Coal Bottom Ash from Sual Power Station
Ronaldo S. Gallardo
Joseph S. Remigio
Civil Engineering Department
Sual Power Station stands on the island of Luzon in the province of Pangasinan at Barangay Pangascasan, located at about 200 km north of Manila. It is owned and operated by Mirant Sual Corporation. Sual Power Station imports bituminous coal directly from China. It uses 10,752 metric tons, at maximum load of 1,218 MW, per day. It has 609MW generation units, and is considered to be the largest base-load, coal-fired, electricity generating plant, but also the most efficient. Coal Bottom Ash is one of the waste by-products generated by Coal-Fired Power Plants. The study deals with the utilization of the said waste material as partial substitute for the aggregates in concrete, with natural short fibers as a form of reinforcement. The three short fibers used in the study are the abaca, bamboo, and coconut husk.
Modeling Public Bus Transport Emission in Metro Manila
Alexis M. Fillone
Civil Engineering Department
The daily emission levels of NOx, CO2, and PM produced by city buses were estimated separately using the methodology of the Computer Program to Calculate Emissions from Road Transport (COPERT II) of the European Environmental Agency (EEA) for the computation of bus emissions. The estimation of bus emission levels in Metro Manila for the whole-day period was divided into two major parts. The first part estimated the peak-hour bus emission level during the morning peak-hour period by using the established equation for bus emission levels on NOx, CO2, and PM under COPERT II, which considers the average travel speed of buses as well as the peak-hour volume along the bus route segment considered. Then, the second part estimated the daily bus emission by considering the morning peak-hour bus emission as an hour component of the 24-hour daily emission and proportionately obtained emission levels of the other hours of the day using this morning peak-hour bus emission level. The major assumption of this study is that the hourly trip generation pattern of public transport commuters in a day is proportional to the hourly bus supply being provided.
The estimated daily total bus emission ranged from 3,146.44 to 5,034.98 kgs for NOx, 833.04 to 1,643.58 kgs for CO2, and 114.10 to 223.12 kgs for PM. These ranges were obtained by considering the minimum and maximum speed ranges of the buses during the actual service operation.
The Role of Probability Density Models in Water Resource Management of Philippine Watersheds
Danilo C. Terante
Civil Engineering Department
One of the most common tools in the management of water resource systems in the Philippines is descriptive and inferential statistics, which probably includes an artificial neural network. Developing probabilist models for analyzing operating policies of multiple reservoir systems has gained popularity in the area of research for more than thirty years now. In the Philippines, the application of probability density functions for reservoir flood-control operations has not been rigorous and dynamic. This paper introduces the transformation of common synthetic unit hydrographs (SUH) into Gamma distribution as a tool for simplified food prediction for water resources management. The Gamma distribution offers an expedient technique in deriving a unit hydrograph (UH) over widely-used approaches, providing a perfectly smooth curve that automatically gives a unit under the curve. The paradigm consists of sensitivity analysis and presents three popular SUHs, namely, the Snyder method, the Soil Conservation Service (SCS) method, and the Gray method for practical comparison. The common parameters of these methods are transmuted into the Gamma distribution.
Infrastructure Projects in Metro Manila
Ronaldo S. Gallardo
Civil Engineering Department
Various construction projects are executed in Metro Manila daily. Subjects in the civil engineering discipline, such as construction management and construction methods, are best understood and appreciated by students if they can actually see applications of underlying principles.
This materials development project provides a video presentation that can be used as a supplement to classroom lectures and discussions in construction subjects. The video compilation consists of short footages of several horizontal construction projects. The projects shown are presented in two sequences: during the construction stage and as completed projects. The total video running time is approximately 45 minutes.
Casebook on IEN 5715 Strategic Thinking and Planning
Anna Bella S. Manalang
Industrial Engineering Department
The strategic planning cases are designed to bring to the surface important considerations, scenarios, issues, and concerns in the planning, formulation, implementation, and control of strategies in business or government, and service or manufacturing in the following industries: Real Estate Development, Juice Manufacturing, Information Technology, Shoe Manufacturing, Automotive Parts Manufacturing, Leather Tannery, and Government. Data are provided to enable graduate students to identify the strengths, weaknesses, opportunities, and threats facing the organizations, which will lead to alternative strategies for consideration. The City of Olongapo was chosen as an application for the Local Government.
An Explicitly Dynamic Multi-Period Competitive Facilities Location Model with Demand Sharing
Richard C. Li
Bryan O. Gobaco
Industrial Engineering Department
Competitive facility location analysis has gained considerable attention in the past, perhaps due to the increasing presence and significant effects of competition in business profitability. Since the latter half of the twentieth century, competitive facilities location models have been continuously studied, explored, and extended by many researchers. With the belief that competition will continue to play a significant role in strategic business management and development, this research deals with a competitive location problem.
This study also aimed to resolve the limiting and unrealistic novelty assumption of past researches by considering demand sharing. In order to achieve these goals, a multi-period competitive facilities model was formulated, which allows opening, closing, and upgrading of a company’s facilities in response to competitor actions or decisions. The model also incorporated the more realistic occurrence of demand sharing whenever customers deem competing facilities equally attractive. Demand sharing was also modeled to occur even if one facility is more attractive than another.
The model was solved using GAMS and its DICOPT solver for MINLP. CPLEX was used for the linear sub-problem, while CONOPT was chosen for the nonlinear portion. Certain insights were gained during the validation process. These are: (1) The resulting solution yielded by GAMS is highly contingent on the initial solution fed into it. This is owing to the MINLP structure of the formulated model. Getting a good solution might require one to experiment or play around with initial values for the decision variables. (2) The DICOPT solver of GAMS guarantees only local optimality at best. It is highly probable that the solution above for the hypothetical problem considered is not the global optimum.
Eco-Mapping the Tanning Process
Debbie Ann P. Nacu
Industrial Engineering Department
Environmental issues affecting society has been widely researched. More often than not, manufacturing companies have been blamed for environmental degradation. The tanning industry is acknowledged to be a polluting industry all over the world. Odor, air and water pollution, chemical safety, contamination of land and groundwater, inadequate provision of solid waste and sludge disposal, spills and accidents involving chemical substances, noise generated by the various machineries, and other issues have been raised.
Pollution from tanneries has a negative long-term impact on the potential growth of a country, irrespective of the immediate economic benefits of production [Ludvik, 1991]. The solution to environmental problems faced by the industry is complex. A comprehensive and systematic approach to pollution control should be done.
This study looked at the major stages of the tanning process. Since there is no universal procedure for the manufacture of leather, the focus of the discussion on the processes is on Valenzuela Tannery Corporation (VTC), one of the largest tanneries in the Philippines, with a monthly capacity of 250,000 square feet of raw hides.
The study aimed to identify the various inputs and wastes generated in each stage through the use of eco-mapping. Understanding the inputs and outputs of the various tanning processes is the starting point for identifying options for improvement with regard to material use, waste reduction opportunities, and other potential actions for environmental preservation.
COLLEGE OF LIBERAL ARTS
TV Audience/Manonood/Odyens: Kritikal na Pagsusuri sa Pagsasalin sa Telebisyon
Janet Tauro-Batuigas
Filipino Department
Layunin ng riserts na ito na imbestigahan ang asampsyon ng risertser na ang programming sa TV ay karakterays ng dalawang klase ng salin: ang una ay ang pagsalin ng mga banyagang programa sa pamamagitan ng dubbing at ang pangalawang uri ay ang imitasyon/apropriyasyon/lokalisasyon ng mga banyagang programa sa local na programa. Ang mga pagbabagong ito sa programming at sa odyens ng telebisyon ay hindi simpleng usapin ng pagsasalin lamang, kung kaya’t kailangang imbestigahan ang transpormasyon ng landscape ng programming ng telebisyon at ang maaring subersyon na ginagawa ng TV audience/manonood/odyens dahil sa kakayahan niyang isalin at i-transform ang mensahe.
Sa unang bahagi ng riserts na ito, inilarawan ang katangian ng pagbabago sa programming ng telebisyon, sa pamamagitan ng paglalarawan ng katangian ng mga programa ng telebisyon mula 1997 hanggang 2001.
Sa pangalawang bahagi, ispesipikong tinatalakay at sinusuri ang mga televisual representations na present sa mga programang napili. Pumili ang risertser ng mga isina-Filipinong banyagang programa sa kanilang popularidad. Pumili ng apat na programa sa telebisyon na isinalin sa pamamagitan ng dubbing (Monica Brava, Alicia, Dragon Ball Z, at Lupin III) at ng apat na programang isinalin sa pamamagitan ng imitasyon/adaptasyon (Batibot, Sa Tabing Ilog, Munting Paraiso, at GameKnB).
Sa pag-analisa ng mga isina-Filipinong programa sa pamamagitan ng unang mode ng salin, ang dubbing, tinalakay ang mga linggwistika, politiko-kolonyal, at sosyo-politikal na faktors bilang mga televisual representations ng mga programa na nakaapekto sa kanilang popularidad.
Sa pagtalakay naman ng mga katangian ng mga programang lokalays ay inilalarawan ang enterteynment at melodramatic na representations na meron ang mga banyagang programa na ginagaya at inapropriyet para maiadap sa lokal na panlasa.
Mula sa mga pagtukoy, paglarawan, at pag-analisa sa mga pagbabago sa TV programming ay sinuri ng risertser ang implikasyon ng transpormasyong ito sa TV audience/manonood/odyens bilang isang mahalagang salik ng mga pagbabago sa TV. Ginagamit bilang batayan ang mga teorya ng Cultural Studies nila Stuart Hall (1981) at Homi Bhabha (1994).
Sa pangatlong bahagi ng riserts ay ang presentasyon ng risertser ng mga implikasyon ng mga popular na isina-Filipinong programa sa TV audience/manonood/odyens. Tinalakay rito ang implikasyon ng popularidad ng ganitong programa sa pagkakaroon ng counter-hegemonic na kapangyarihan ng mga Filipino na isinalin ang kanilang napanood na texto at i-transform ito para iayon sa kanilang kontexto.
Phase 4.3: The Hiligaynon Novelists and the Translation of Hiligaynon Novels (Excerpts) into English
Genevieve L. Asenjo
Literature Department
This is the third translation volume for the Hiligaynon Literature anthology under the Literary History of the Philippines (LIHIP) project of the Department of Literature. While the first two translation collections focus on Hiligaynon binalaybay (poetry) and sugilanon (short story), respectively, this volume features two major Hiligaynon novelists, Ramon Muzones of Iloilo and Lino Moles of Negros.
Margosatubig is the celebrated 1946 novel by Ramon Muzones, serialized in the defunct Yuhum Magazine, and printed by Diolosa Publishing House in Iloilo City in 1947. It employs tales, romance, and fantasy in narrativizing the history of Muslim-Filipinos. It also exemplifies the enduring battle for supremacy between good and evil in the establishment of a kingdom and in the search for the true sultan of Maguindanao and Sulu. The translation in English was done by Leoncio P. Deriada of UP Visayas, a Palanca Hall of Fame awardee and Metrobank Outstanding Teacher Awardee.
Kalayo sa Sidlangan of Lino Moles, on the other hand, was serialized in Hiligaynon Magazine in the ’70s. It embodies the romantic mode and protest tradition of Hiligaynon literature as it addresses the conflicting hacendero-sacada relationship. Central to the novel is the love story of a strong-willed heiress of haciendas in Murcia, Silay, Victorias, and other neighboring towns, and the poor but honest and responsible gentleman working for the empowerment of sacadas and their families. It recounts the history of social unrest, banditry, and insurgency-the result of the wide gap between the landed class and the peasantry in the region. Entitled “Fire in the East,” the English translation was done by Jonathan Jurilla, an award-winning fictionist and literature professor of UP Visayas.
This volume showcases practice/s in translation from Hiligaynon into English, and the specificity and commonality of the Hiligaynon novel with Philippine novels, particularly in English and Tagalog. It also foregrounds themes and other areas of studies for scholars and researchers to further explore.
God was not in the Wind: An Evolutionary Understanding of Popular Religion in the Philippines
Jaime A. Belita, C.M.
Theology and Religious Education Department
In the Philippines, popular religion still persists in spite of secularizing trends and technological advances. It seems that the harder the times are, the more people flock not only to churches, but to large and open religious gatherings. Explanations of the phenomenon come mostly from the angle of culture and the social sciences, viewing religion as an anthropological function or simply as a cultural artifact.
Thus, a new approach is in the works, one that precisely adopts a scientific fact like evolution. Using the evolutionary process as a paradigm to explain religion and morality fits in very well with today’s trend for biological studies. Since popular religion is basically a belief and a moral system, it is convenient to study both religion and morality as a by-product of living beings’ adaptive measures for natural and group selection.
In humans the pressure of the principle of natural selection shifts from genes to culture. Humans today do not have to wait for genetic evolution to adapt better to a changing world; they can bring about cultural evolution consciously with a capability to learn from the past and anticipate the future. Popular religion, with its belief in the supernatural, finds a niche in the evolutionary process when it sets the perimeter on how far cultural evolution can stretch without destroying the human. In the process, however, of opting for a culturally-fit element, believers make trade-offs like giving up the power of freedom and spontaneity for the stability of a bureaucratic institution. They also trade the developmental use of reason for the immediate impact of the emotions.
Evolution through genetic modification has persistently disclosed a pattern for diversity and complexity. This two-fold pattern constitutes what philosophers call “beauty” and is the basis of aesthetics. Non-theistic evolutionists, unlike the theistic ones, might not believe in an intelligent design (inseparable from divine authorship), yet they can hardly deny the existence of patterns for beauty toward which all evolutionary trajectories aim. Popular religion’s inclination towards harmony in its ethical stance and a holistic approach to reality are, in the researcher’s opinion, instances of that thrust towards beauty. Before all moral principles and religious functions formulated by institutional religion, popular religion thrives in their very grounding or underpinning in the evolution’s push towards diversity and complexity.
Popular religion in the Philippines is a by-product, too, of both genetic and cultural evolution, with a difference. Its complex of religious beliefs and ethical patterns of behavior arose from the evolutionary push for adaptation in its natural environment, but it is also the outcome of a mysterious “pull” coming from what believers call God, whose biblical revelation in history came to us by way of Spain and Mexico. Ours is a syncretistic (the term does not have to be derogatory) popular religiosity that makes us cope with the harsh realities found not only in nature but also in people.
The Lasallian Youth of the De La Salle University System at the Dawn of the 21st Century: Belief and Unbelief, Personal Morals, and Social Conscience Towards a Clearer Picture
Arnold T. Monera
Theology and Religious Education Department
Ma. Jesusa M. Marco
Behavioral Sciences Department
This research aimed to describe contemporary beliefs (or unbeliefs) and attitudes regarding faith issues, the moral views on personal and social issues, and the correlates of these among young Lasallian students in the DLSU System. Specifically, the researchers attempted to: (a) find out the students’ set of beliefs and attitudes on various faith issues such as the existence of God / Supreme Being, existence of heaven, life after death; (b) describe their personal views on moral issues such as cheating, gambling, abortion, pre-marital sex, phone or Internet sex, and prostitution; (c) characterize their social conscience on issues like the poor, environment, social responsibility, the church’s social involvement, and justice; (d) determine the correlates of their beliefs, attitudes, and personal and social morals; (e) identify the various factors and their extent of influence on the faith development of young Lasallians; and (f) examine the role and the extent of influence different groups have in the faith development of Lasallian students.
The Lasallian youth referred to in this study include randomly selected college students from DLSUDasmariñas, DLS-Health and Sciences Campus, DLS-Canlubang, DLS-Araneta University, DLS-College of Saint Benilde and DLSU-Manila. The survey questionnaire used consisted of four aspects, namely: (1) beliefs on Faith essentials, (2) attitudes on Faith life essentials, (3) personal moral values, and (4) social conscience.
Upon data collection and analysis, the survey items were processed and analyzed using the Statistical Package for Social Sciences (SPSS). The following findings were obtained:
1.Beliefs on and attitudes to Faith essentials, personal, moral, and social conscience of the students are interconnected. The findings in the four aspects show the following striking points:
On Beliefs on Faith Essentials. There is no doubt the students still believe in a personal God. In terms of creedal statements, the Lasallian youth remain religiously-oriented. Orthodoxy in terms of their acceptance of a personal God is indicated, but how God operates is ambiguous.
On Attitudes to Faith Life Essentials. The Lasallian youth still give importance to their spiritual growth. They regard faith as a source of enlightenment, strength, and comfort. This spiritual growth, however, is apparently limited to a private individual affair (an “I-thou” relationship). The communitarian and ecclesial dimension of this faith is rather weak, as shown in their appreciation of the Sunday mass and the church’s preferential option for the poor, among others. There is unanimity in their moderate appreciation of the relevance or meaningfulness of their religion classes as leading them to a deepening of their faith.
On Morals. There is an emergence of a new value system among the Lasallian youth, as shown in their evaluation of cheating, gambling, artificial contraception, and premarital sex, among others. Some of these values challenge or are not in consonance with current or traditional church teachings. This picture reflects the larger mind-set prevalent in society today. On the lighter side, the Lasallian youth still highly value respect for elders and the sanctity of life, as indicated by their explicit resistance to the practice of abortion.
On Social Conscience. The survey shows an existing dichotomy between the love of God (vertical dimension) and the love of neighbor (horizontal dimension). Faith seems not to influence the other areas of human life. There is a basic deficiency in the social dimension of faith, as shown by their poor estimation of social action involvements. They even want the Church out of politics. This weakness in social conscience is gleaned from their view that politics is separate from faith concerns. The Lasallian youth’s perception of faith is strongly personal in character, but deficient in the communitarian or ecclesial aspect. Trapped in this orientation, it can be concluded that the Lasallian youth will not mature in faith.
On the Correlates. The inculcation of traditional Christian values diminishes as parents obtain higher educational attainment. The lesser the faith issues are discussed and valued at home, the lesser is the affinity of the young to such values. The data shows that as the Lasallian youth grow older, palpable changes are likewise ushered in their behavior and attitudes, i.e. the older they get, the less expressive they become of their accepted faith. A constructive questioning of faith could widen faith horizons and foster faith clarity and commitment.
On Sources of Influence. Responses show unanimity in the predominant role of the family/parents in the faith development of students. Mean scores indicate that parents have the most influence on the student respondents’ values and attitudes, taking into account all other variables analyzed.
Conclusions
1.Although the results have not yet reached alarming levels, the study shows that the Lasallian youth are becoming less and less traditionally religious in a fast-changing world marked by globalization, secularism, and modernization.
2.In other words, the Lasallian youth are:
a.) Highly personal and individualist in relating with God
b.) Not socially or ecclesially-oriented in terms of faith praxis
c.) Decreasing in their appreciation of religious devotions and practices, religious instructions, and religious authorities that
serve this end
d.) Becoming more and more susceptible to the trends and values brought about by the fast-changing world they are in and as
a consequence, drifting away or becoming indifferent to traditional moral teachings affecting one’s way of life
e.) Highly influenced by parents/family in their religious values and attitudes
Based on the conclusions, the study made recommendations for the Theology/Religious Education teachers and Campus Ministry, for the De La Salle System schools, and for the parents.
Regulation Problems in Public Transport: The Case of Metro Manila
Eric Vincent C. Batalla
Vicente Jose P. Roxas
Political Science Department
From a multidisciplinary perspective, we examine the problem of traffic congestion in Metro Manila, focusing on public transport and in particular the public bus industry. The problem could be easily dismissed as a perennial cultural phenomenon among Filipinos. However, we believe that for a long time the government’s developmental and regulatory efforts have not been sufficient to address the problem and its structural causes.
This paper traces the historical evolution of traffic congestion, from decades of land transport shortages and limited road networks to the proliferation of intermediate transport modes of the 1990s. It reviews the various governmental authorities involved in transport and traffic management. A case study of the regulation of public utility buses on EDSA, one of Metro Manila’s main thoroughfares, illustrates the complexities of the problem. Statistical data presented suggest poor traffic management by government. Observation and interview data offer clues of deficiencies in private sector management practices as well. A cursory review of the public bus industry indicates government and market failure, which reinforce bus drivers’ lack of observance of rules and etiquette. The study concludes that this failure results in self maximization at the expense of social order. It recommends that a more systematic approach be taken within a framework where government-private sector cooperation is more socially beneficial than costly.
A Begotten American Son: The Violence of Belonging in Paul Stephen Lim’s Mother Tongue
Shirley O. Lua
Literature Department
Mother Tongue is Paul Stephen Lim’s portrayal of a Chinese-Filipino migrant in the United States of America, who teaches and writes in the language of his adopted country, and surrenders his allegiance to the stars and stripes as his mother’s words and the ghosts of his past relentlessly haunt him. In April and May 2001, the Philippine theatre group Actor’s Actors Inc. performed the play.
In view of the large-scale mobility of people across national borders and the emergence of transnational shifts in the last fifty years, it is significant and timely to consider the phenomenon of “double-diaspora.” By “double-diaspora” is meant the second-generation of people whose ancestors have chosen to settle in a foreign land, and these second-generation migrants in turn become dislocated from their birthplace through their own movements of migration, immigration, or exile. Writers of Chinese ancestry who were born in the Philippines have undertaken this second-order movement, following the trail of Filipino predecessors-their migratory aims conditioned by Philippine-US neo-colonial relations. The retelling of memories in their fictions, poetry, and plays alludes to their origins; and their experiences of displacement, at times, are imagined twice over.
In this critical project, this era of double-diasporic phenomenon is explored. The researcher’s focus is on the two-fold experience of deterritorialization as portrayed in Paul Stephen Lim’s Mother Tongue (1988). The following are examined and answered: How is the Chinese-Filipino-American identity/subjectivity imagined in the writer’s negotiation among socio-historical and political interventions? How is double-diaspora lived and experienced? How does the text, through its characters, view the ancestral homeland, the place of birth, and the country of settlement? How are memories, language, dramatic devices, and theatrical modes deployed and refashioned to depict alternative views of double-diasporic consciousness?
Peregrinatio Animae: St. Augustine’s Theory of Human Existence
Carmelo P. Marollano
Philosophy Department
This paper aimed to show and elucidate St. Augustine’s theory of human existence and its bearing on spiritual and practical life.
St. Augustine believes that human existence is a peregrinatio animae – a journey of the soul. He takes his paradigm based on what he had imbibed from the Neoplatonic teachings of Plotinus and Porphyry.
His theory and experience of human existence revolves around the “formation – deformation – reformation” paradigm. The primordial datum revolves around the belief that man is created in the image and likeness of God and so he participates in God’s being. Being so, there is in man an indelible mark of God. As long as man stays within God’s fold there is being and life; apart from God, there is nothingness and death.
Following the Plotinian model, the soul’s propensity is towards matter. And so man falls into the world and with it the image is deformed, darkened, and diminished. Man then is exiled from his original patria and descends into nothingness. The image, though tarnished and blemished, is not entirely effaced. Man’s original goodness and beauty remain in him. The challenge is for him to go back to where he originally belongs – to the bosom of God. The “formation – deformation – reformation” model then bespeaks of life as a journey and man as a wayfarer, a traveler, a peregrinus, a peregrinatio animae.
Interestingly, this manner of presenting his theory of human existence jibes well with St. Augustine’s experience in life. The paradigm is actually his very own life! St. Augustine’s life can be encapsulated in the foris – intus – Deus intimus cordi model. He started from the original patria; then he was captivated and he languished in the sights and sounds of the external world (foris). Realizing that his soul had become famished and that the relative truths the world offers only yield relative happiness and can never quench his thirsting soul, St. Augustine resolved, perhaps cognizant of the Porphyrian exhortation, to return to himself, to his inmost self because truth dwells within. This realization led Augustine to believe that beyond the inner spiritual region is the originalis region. The journey inward is the journey upward. The peregrination can only come full circle, and man’s existence to full realization, when he comes back to God.
Narrative Study on Second-Season Parenting Among Aging Filipinos
Roberto E. Javier, Jr.
Psychology Department
The main objective of this study was to explore and describe the phenomenon of parenting adult children among aging Filipinos. The notion of second-season parenting relates to roles and responsibilities older parents continue to play and assume for their adult children. Specifically this study sought answers to the following questions: 1) what are the parenting experiences and activities of Filipino aging mothers and fathers; 2) what are the consequences of parenting adult children for the elderly parents; and 3) what are the continuing and sustaining parenting roles and responsibilities of older parents to their adult children?
This study on sustained parenting and family life among aging Filipinos provides the dynamics in the Filipino family system and explains the centrality of the role of the old person in the family life. It explores the Filipino notions of parenting in aging years through active and sustained involvement in the family affairs. It is an inquiry into our folks’ notion of being old in the Philippines and what Filipino seniors consider generative as well as integrative, activity in later years of life.
The exploratory-descriptive research design is utilized in this study. It is a qualitative research that employed ethnographic strategies. Ethnographic strategies were employed in doing fieldwork in the rural and the urban, in the upland, lowland, and coastal areas to generate qualitative data on old folks’ conceptualizations about, and experiences of second-season parenting.
Pagbuo ng Bilinggwal na Diskyunaring Pangkompyuter
Imelda P. de Castro
Filipino Department
At present, the concepts in computer science are only expressed in English. To participate in “e-Commerce” or trade in the Internet, one has to know English first or develop his own language in order to come up with words that correspond to the concepts in English. This study explores the second option of searching for or coming up with equivalent terms in the Filipino language.
The three conceptualized ways to actualize the intellectualization or elaboration of the Filipino language in computer science are the following:
P1 – borrowed from English. This is direct borrowing of English terms-the spelling and the pronunciation are not changed.
Example: Computer – Computer
P2 – English pronunciation, Filipino spelling -The original way of pronouncing the terms are kept but the spelling is “like how it is pronounced.”
Example: Computer – Kompyuter
P3 – New Words. These are equivalent terms created by the researcher.
Example: Computer – Malaking datos taguan
The three ways of lexical elaboration were used as the basis for choosing the terms for compiling a bilingual dictionary for the field of computers. In this particular study, lexical elaboration means a mode in planning language to enrich and expand the language of a country. According to Ken Urano (1998), lexical elaboration is a process of intellectualization of terminologies. This is done by adding uncommon words that give definitions, synonyms, antonyms, or hypernonyms-and not by removing them.
The following examples trace how lexical elaboration is done to enrich computer lexicon.
1.Adding uncommon terms.
Bittwidder – bittwidder (png.),bitwider (png.) (kol.) 1. Sa orihinal na kahulugan ng terminolohiya, isang taong may kakayahan na magtalaga sa pagprograma. 2. Taong mahilig sa computer.
2.Giving of synonyms or words with the same meaning. One example is the term “firewall” which shares its meaning with the words “screen” and “protection”.
Firewall – firewall (png.), fayrwol (png.) (kol.), pananggalang (png.) (kol.) 1. A part of the computer’s security that can be accessed by a network through another network.
3.Giving of hypernonym or a general classification. An example is Central Processing Unit (CPU) which is known to many people in terms like “hard disk” and “memory”.
4.Giving of antonym or terms with the opposite meaning. An example is the term “download” which is the antonym of upload.
Download – download (pd.), dawnload (pd.) (kol.) 1. Pagkuha ng mga impormasyon sa kompyuter 2. Proseso ng pagpapadala ng impormasyon sa kompyuter. Ang kabaligtaran nito ay ang terminong upload.
Filipino, a modern language currently used by over 80 million people, is still strongly in need of an up-to-date lexicon to deal with the field of computer science. Recognizing that both computer science and the modernization of the Filipino language are twin goals necessary for Philippine national development, this research project sought to further the intellectualization of Filipino by means of a preliminary bilingual dictionary of some 1000 key terms used in the field of computer science.
Dugo sa Gunita
Cirilo F. Bautista
Literature Department
In the light of the growing interest of scholars and readers in Tagalog literature, the CHED requirement of teaching regional literatures (Litera I) on the tertiary level, and the need to develop material resources for our students and faculty of the Master of Fine Arts Major in Creative Writing and Doctor of Fine Arts major in Creative Writing degrees, this project is a significant contribution to Philippine literature. First, by using Tagalog (in contrast to Pilipino and Filipino), the proponent, intends to help prevent the demise of that language and help revitalize its use in formal creative writing. Tagalog has been vulgarized and marginalized by language proponents who are basically after creating a lingua franca at the expense of Tagalog. While this may be acceptable in the field of mass communication, it is dangerous to literary writing, as it will truncate the literary tradition started by Francisco Balagtas and championed by Lope K. Santos and Amado V. Hernandez.
Second, by employing the genre of the Tagalog novel, a literary genre that is on the verge of neglect, the proponent helps generate interest in the form among the younger crop of writers in the country.
Investing in Social Responsibility: Corporate-Community Engagement in Cebu City, Philippines
Francisco A. Magno
Political Science Department
This paper examined the impact of Corporate Social Responsibility (CSR) activities in generating improvements in resource management and development in selected upland barangays in Cebu City. It looked into how a community development approach to CSR was purchased through the partnership between PBSP, the Aboitiz Group of Companies, and the City government, to implement the Cebu Hillyland Development Program (CHDP). This case was chosen because of the comprehensive nature of the development strategy adopted, as well as the multiple partnerships created. The program is a showcase of community organizing, multi-stakeholder participation, and appropriate technology. In 2003, a third of the households in the target communities registered incomes above the poverty threshold.
Metacognitive Judgment in a Naturalistic Setting: Assessing Performance in Classroom Tests
Moises Kirk De Carvalho Filho
Psychology Department
By using real classroom evaluations in two studies, the effects of metacognitive ability (high vs. low) and test type (multiple-choice vs. short-answer) on students’ performances and monitoring processes in individual and in collaborative tests were investigated. Moreover, it was also assessed whether those effects would change over the duration of one academic term. Results reveal that 1) compared to their counterparts, high-metacognitive students presented more effective test preparation practices and attributional and regulatory processes. As a result, they presented better test performances and online monitoring; 2) over time, students’ performances and monitoring processes varied in specific patterns according to the type of test being taken; and 3) collaborative testing had particular positive effects on groups of low-metacognitive students. Only the accuracy scores of groups composed of two low-metacognitive students showed a significant improvement from the first to the second short-answer tests. Consequently, their performances also improved. Results are discussed focusing on the educational implications of the interaction of those factors and how it might determine how much students can learn from test-taking experiences.
The Vision and Praxis of Nothingness and Unity in the Spirituality of Chiara Lubich
Lolita L. Castillo
Theology and Religious Education Department
This is a qualitative inquiry using a descriptive and evaluative methodology which takes into account the spiritual, theological, and pedagogical dimensions. Unity and nothingness are the key elements of the vision and praxis in Chiara Lubich’s spirituality. These elements are both human and supernatural realities. Nothingness in Lubich’s spirituality is “Jesus Forsaken.” When people love one another in the measure of Jesus Forsaken, or being nothing, they experience unity-the presence of Jesus in them and among them. Jesus Forsaken is the apex of love. Love, in Lubich’s paradigm, is like a light that passes through a drop of water and is turned into a rainbow, producing seven different colors and reflections while remaining light. Therefore, the seven colors are aspects of one reality. These different aspects, which are active in people’s lives, are all important and interdependent. The seven aspects are as follows: Red-Communion of Spiritual and Material Goods; Orange-Witness and Diffusion; Yellow-Union with God and Prayer Life; Green-Natural World and Physical Life; Blue-Harmony and Environment; Indigo-Wisdom and Study; and Violet-Communication and Unity. All seven aspects have a divine and human dimension, and when lived concretely, can be a means for dialogue among churches and religions. This is a fourth kind of dialogue called the “dialogue of life,” which is the major contribution of Lubich for the Church in the third millennium. Furthermore, the seven-color framework can be utilized as dimensions of holistic living for the religious and values education of individuals, particularly the youth of all cultures and religions.
The De La Salle University Story Volume I: The Early Years
Cirilo F. Bautista
Literature Department
The De La Salle University Story – The Early Years is part of a book about the history of De La Salle University. It provides a focused narrative structure to the story, clarifies certain areas of disagreement among the other books written about the early years of De La Salle College and the milieu in which the school emerged and by which it was influenced, creating the appropriate atmosphere for a better appreciation of the events.
COLLEGE OF SCIENCE
Random Amplified Polymorphic DNA (RAPD) Analysis of Selected Philippine Vanda Species and Related Orchids
Surya Krishna Manohar
Biology Department
The orchid genus Vanda belongs to the largest family of flowering plants-the Orchidaceae-many of which are endemic to the Philippines. There are over 900 species of orchids in the country, representing almost ten percent of the entire flora. Orchids grow in the wild as terrestrial plants or epiphytes, and are collected or cultivated by enthusiasts and growers. They are economically important as part of the cut flower industry. Although orchids have been studied for a very long time, the taxonomy of orchids is in a constant flux because it is currently based generally on morphological characters. Partly due to the strong heterozygosity displayed by them, large variations occur among species, creating confusion regarding taxonomical status. The situation becomes complicated because orchids can breed easily with other species within the same genus or with those of closely-related genera, giving rise to hybrids. Such hybrids often show habit and growth behavior similar to other species, thus adding to the confusion. This has led to different versions of classifications and relationships among the orchids.
Recent advances using molecular techniques like isozyme analysis, Restricted Fragment Length Polymorphism (RFLP), and Random Amplified Polymorphic DNA (RAPD) have contributed to understanding phylogenetic relationships among the orchid groups. Since these techniques rely on genomic information rather than the morphologic, they are seen to be more useful in studying relationships. With the available resources, this study focused on selected members of the Philippine Vanda and related species, as well as one “new” as yet unidentified vandaceous species collected from Cotabato, in order to study genetic relationships using the RAPD technique. The main objective was to obtain preliminary genomic data to be able to assess the relationships among the different species of the Philippine Vanda and its related species (namely: V. lamellata, V. merillii, V. luzonica, V. ustii, V. roeblingiana, V. javierae, V. sanderiana syn. Euanthe, and related species like Trichoglottis, Ascocentrum, Euanthe, and Renanthera).
The genomic DNA was extracted from leaf samples using the modified CTAB method and RAPD was performed using PCR Core System I kit (Invitrogen) in a thermocycler (MJ Research PTC100) using fourteen different Operon primers. The optimized reaction conditions were: 50 µl reaction volume, containing 1x PCR buffer, 4 mM MgCl2 , 400 µM of dNTPs, 1 µM Operon Primer, 1 to 2 U of Taq Polymerase Enzyme and 25-50 ng of sample genomic DNA. The amplified DNA fragments were run on a 1% agarose gel (1X TAE buffer), stained with ethydium bromide, and visualized under UV illumination. Out of the fourteen Operon primers used in this study, only two (OPU 5 and OPU 12) generated amplified bands in the reactions. The gel pictures were documented and the RAPD bands were analyzed using the RAPDistance 1.04 software.
The genetic distances as seen by the dendrogram generated by RAPDistance 1.04 broadly agreed with the general classification. Closeness of Ascocentrum as well as that of Vanda Sanderiana alba syn Euanthe to the vandas is evident. This observation supports the view that V. sanderiana is indeed closely related to the vandas and possibly does not merit a separate monotypic genus Euanthe. The result of this study confirms for the first time the position of the “new” tentatively identified Vanda species collected from Cotabato, since it groups with Vanda merrilli, V. luzonica, and Ascocentrum aurantiacum. Thus, it also clears the initial doubtful identity as being a vandaceous species based on habit and morphology alone. However, the dendrogram shows that while strap-leaved Trichoglottis agusanensis groups with the V. merrilli, V. sanderiana, V. luzonica, and the related Ascocentrum aurantiacum, it is to be noted that T. brachiata (with short oblong-elliptic leaves) groups separately. It shows closer relatedness to V. lamellata var. boxalli, V. ustii, and Renanthera monachica, all strap-leaved. Further study of populations with a wide range of Operon primers resulting in many RAPD markers is needed to evaluate and expound further relationships among the members.
In conclusion, the genomic RAPD data can reveal relationships between different taxa and can serve as an additional method of determining and verifying phylogenetic relationships (and hence taxonomic positions ) of species, especially of those whose relationships are in doubt.
DNA Markers for Capsicum Species Found in the Philippines
Nancy Lazaro-Llanos
Chemistry Department
Molecular markers were established for five Capsicum species found in the Philippines. The DNA from the leaves of Capsicum annum and Capsicum frutescens were successfully isolated using the modified CTAB Method. This is a suitable method for plant DNA isolation because it can reduce plant cell contaminants such as polysaccharides and secondary metabolites, which can interfere in extracting pure DNA. The presence of DNA from the Capsicum isolates was verified by agarose gel electrophoresis. The concentration and purity of the DNA were determined by evaluating the relative absorbance at ?260/280 by UV-Vis spectroscopy. The isolated DNA samples were digested by restriction enzymes EcoR1, HindIII, and EcoR1/HindIII mixture, and the resulting fragments were analyzed by agarose gel electrophoresis and pulse-field gel electrophoresis (PFGE). The bands were stained with ethidium bromide, viewed under ultraviolet light, and recorded with a digital camera. With the DigiGenius SynGene Tools Software, the total DNA and Restriction Fragment Length Polymorphism (RFLP’s) were analyzed.
The molecular weights of the DNA from Capsicum annum, Capsicum frutescens, Capsicum frutescens L, Capsicum frutescens var. and Capsicum annum var. longum were 527.95, 507.41, 323.65, 363.02 and 277.21 kilobase pairs (kbp), respectively. The variation in fragmentation patterns of Capsicum annum and Capsicum frutescens was principally due to the difference in size and base composition of their DNA.
The RFLPs generated can serve as a fingerprint to distinguish Capsicum species. More precisely, unknown samples of DNA may be run simultaneously with the known samples as standards, and the RFLPs compared in order to assess a close or exact match. Molecular markers are important tools in taxonomic classification. Results from this research is also valuable in the fields of biotechnology, genetic engineering, and food technology.
Environmental Fate of Selected Agricultural Pesticides in Lowland Rice Fields of Central Luzon
Ferdinand F. Fajardo
Chemistry Department
The dissipation of butachlor in soils of varying past herbicide experience was studied. Butachlor dissipation and its leaching behavior were tested on soils that had been treated with this compound for a year or less, five, fifteen, and greater than twenty years.
The DT50 of butachlor under the different soil conditions were estimated by manual interpolation (MI) using absolute values or actual herbicide concentration. At higher application rate, i.e., at 20 ppm, butachlor tended to stay longer in old soils compared to virgin soils or young soils. At lower rate, 5 ppm, the trend was similar, i.e., butachlor dissipated faster in younger soils (virgin and intermediate soils).
The leaching of butachlor was limited to the second soil layer, i.e., 1-2 cm anaerobic layer. This may indicate that butachlor is not highly mobile under lowland conditions.
Structural Studies of Chemical Isolates and Synthesis Products by X-ray Diffraction: The Crystal Structures of [Ru(dppe)Cp*C6I(CN)4·½(C6H6)], [Ru(dppe)Cp*C6I(CN)4·½(C2H5OC2H5)], and [Ru(dppe)Cp*C4(CN)4]
Wyona C. Patalinghug
Chemistry Department
The crystal structures of [Ru(dppe)Cp*C6I(CN)4·½(C6H6)], I; [Ru(dppe)Cp*C6I(CN)4·½ (C2H50C2H5)], II; and [Ru(dppe)Cp*C4(CN)4], III, were solved by single crystal x-ray diffraction at 150(2) K using a Bruker SMART CCD diffractometer.
I and II are isomorphous crystallizing in space group P? with 2 molecules per asymmetric unit. The cell parameters for I: a = 15.706(2) Å, b = 16.891(2) Å, c = 17.669(2) Å; = 100.360(2)°, = 102.755(2)°, = 98.698(2)°, V = 4407.3(9) Å3, Z = 4; for II: a = 15.786(3) Å, b = 16.885(3) Å, c = 17.620(3) Å, = 100.30(3)°, = 102.62(3)°, = 99.80(3)°, V = 4400.8(18) Å3, Z= 4. Residual benzene solvent molecules are found in I while residual diethylether solvent molecules are found in II. Crystal III crystallized in the space group P21/n with cell parameters: = 13.362(3) Å, = 17.193(3) Å, = 16.114(3) Å; = 98.96(3)°, V= 3656.7(13) Å3, Z = 4. All non-hydrogen atoms were refined anisotropically. Hydrogen atoms were located at geometrically calculated positions. Final cycles of full-matrix least squares refinement converged at R and wR values of I, 0.047, 0.066; II, 0.054, 0.069; III 0.059, 0.073, respectively. All structures exhibit distorted octahedral geometry about the Ru center. The P atoms of dppe are coordinated to Ru at a distance ranging from 2.27 Å to 2.30 Å. The distance of Ru to the C of the acetylenic chain is about 1.9 Å. The Cp* ring sits atop the Ru at a distance of about 1.9 Å away as defined by the plane of Cp*. Bond lengths and angles of the dppe, Cp*, and the acetylenic carbon chain as well as those of the cyano groups are normal.
Utilization of Quaternary Ammonium-Cation-Modified Birnessite-Type Manganese Oxide (OL-1) as Sorbent of Organic Pollutants
Elaine N. Tolentino
Chemistry Department
The efficacy of quaternary ammonium cation (QAC) – modified birnessite-type material as sorbent of organic pollutants by Gas Chromatography (GC) using solid phase microextraction (SDME) technique was evaluated. Birnessite-type manganese oxide was synthesized. The structure of this octahedral layered manganese oxide (Na-OL-l) was verified by Powder X-ray Diffraction (XRD). An interlayer spacing of approximately 10 Å was observed, which is the diagnostic peak of buserite-type material, the hydrated form of birnessite-type manganese oxide. The cation-exchange capacity (CEC) of this material after ion-exchange with tetramethylammonium cation (TMA+) as determined by Atomic Adsorption Spectroscopy (AAS) reached as high as 140.66 meq/100 g Na-OL-l. The Na-OL-l was then modified with varying concentrations of TMA+ and HDTMA+ (hexadecyltrimethylammonium cation) surfactants. The XRD profiles of TMA-OL-l and HDTMA-OL-l show a topotactic ion-exchange reaction. Fourier Transform Infrared Spectroscopy (FT-IR) provided evidence on the incorporation of TMA+ and HDTMA+ into the birnessite-type framework. Further characterization of Na-OL-l and its modified counterparts by Scanning Electron Microscopy and Differential Thermal Analysis (DTA) was done.
To evaluate the performance of the materials as sorbents of organic pollutants, 1,2,4-trichlorobenzene (TCB) in 10% aqueous methanol was allowed to equilibrate with Na-OL-l and QAC-modified OL-l. The amount of 1,2,4-TCB sorbed on these sorbents was extracted by headspace solid-phase microextraction (SPME) and quantitatively determined by GC using standard calibration method. Sorption capacity of OL-l and QAC-modified-OL-l was assessed based on sorption partition coefficient, Kd of TCB. The obtained Kd values revealed the appreciable sorption capacity of OL-l. Higher Kd values were obtained for the QAC-modified materials, exemplifying enhanced sorption capacity of these modified materials.
Isolation, Structural Elucidation, and Antimicrobial Assay of Secondary Metabolites from Six Philippine Medicinal Plants
Consolacion Y. Ragasa
Chemistry Department
New Iridoids from Gardenia augusta
The dicloromethane extract of the air-dried flowers of Gardenia augusta afforded a new iridoid natural product (1), and a diastereomeric mixture of two new iridoids (2a and 2b) in a 2:1 ratio. Their structures were elucidated by extensive 1D and 2D NMR spectroscopy. Antimicrobial tests on (1) indicated that it was moderately active against C. albicans; slightly active against E. coli, P.aeruginosa, S. aureus, and T. mentagrophytes; and inactive against B. subtilis and A. niger.
Terpenoids from Tithonia diversifolia
The air-dried flowers of Tithonia diversifolia, commonly known as native sunflower, afforded tagitinin C (1), fatty acid esters of faradiol (2), squalene (3), and a mixture (1:2) of stigmasterol (4) and sitosterol (5). The structure of 1 was elucidated by extensive 1D and 2D NMR spectroscopy, while the structures of 2-5 were deduced by a comparison of their 1H and 13C NMR spectral data with those found in the literature. Antimicrobial tests on (1) indicated that it was moderately active against S. aureus and C. albicans; slightly active against E. coli, P. aeruginosa, and T. mentagrophytes; and inactive against B. subtilis and A. niger.
Terpenoids and Sterol from Pteridium aquilinum and Bryophyllum pinnatum
The air-dried leaves of Pteridium aquilinum and Bryophyllum pinnatum afforded stigmast-4-6?-ol-3-one (1). The structure of (1) was elucidated by extensive 1D and 2D NMR spectroscopy. P. aquilinum also afforded lutein, ?-carotene, and phytol, while B. pinnatum also afforded lutein and squalene. The structures of these compounds were identified by comparison of their NMR spectral data with those reported in the literature. Antimicrobial tests on (1) indicated that it has low antifungal activity against C. albicans, A. niger, and T. mentagrophytes and low antibacterial activity against P. aeruginosa. It was inactive against E. coli, S. aureus, and B. subtilis.
Secondary metabolites from Stenolobium stans
The air-dried flowers of Stenolobium stans afforded a new fatty acid cinnamate ester (1), and a mixture of stigmasterol and sitosterol in a 1:1 ratio. The structure of (1) was elucidated by NMR analysis and confirmed by MS.
On Distances of Self-dual Codes and Type II Codes Over Z2 x Z2
Ederlina G. Nocon
Mathematics Department
Some studies made on codes over some finite abelian groups were mainly focused on duality and the construction of some Type II codes based on the duality maps [7], [9], [8]. These papers were based on the works of E. Bannai [1]. After determining the dualities of the group whose elements are the alphabets of a code and their corresponding weight functions, one interesting quest is to determine distance functions that can be applied to the code. Among the known distance functions used for codes over fields and rings are Hamming distance, Lee distance, and Euclidean distance.
This research, however, deals with another distance function induced by the presentation of the group Z2 x Z2. With the two dualities identified in [8] of this group and their corresponding weight functions, the researcher wishes to focus on certain codes of length n < 8 with distance d < 4. The study is focused on self-dual codes and Type II codes. The main tool in defining distance is the graph of the group (or color group) Z2 x Z2, which is based on its three possible presentations. Some properties of these codes are to be taken into consideration based on two dualities (P1, P2), their corresponding weight functions, and the three distance functions induced from these presentations. More emphasis however, is given to P2 since the codes studied here could easily be identified with ordinary binary codes (by applying the “flattering map”) so that P1 is merely the duality associated with the usual inner product.
Mathematics Library Package for NUMENLA (Numerical Analysis) Subject
Angelyn Lao
Mathematics Department
This is a project constructing a built-in package for the Numerical Analysis subject, with course code NUMENLA, of the Mathematics Department of De La Salle University-Manila. The library package software uses the application software Mathematica. The library package includes the built-in programming code of Mathematica for some of the concepts taught in NUMENLA and the computation of roots using the Bisection Method, Secant Method, Newton’s Method, etc. While in the computation of numerical solutions of linear solution, the Gaussian Elimination Method, Gauss-Jacobi Method, Matrix Factorization Method, and Gauss-Seidel Method were included. Lastly, under the computation of interpolation, Divided Differences, and Newton’s Forward Differences were included in the package program.
Linking Teaching Beliefs to Classroom Practice: A Profile of Three Physics Teachers
Voltaire M. Mistades
Physics Department
The study looks at beliefs about teaching Physics held by three faculty members of the Physics Department, College of Science, De La Salle University-Manila and determines how many of these beliefs find their way into actual classroom practice. Using the Maryland Physics Expectations Survey (MPEX), teachers’ predispositions and assumptions were documented. Classroom observation data, using the Reformed Teaching Observation Protocol (RTOP), formed the “classroom practice” component of the study. These data are valuable input into a possible framework in teaching collegiate-level Physics in the Philippines.
Design and Fabrication of an AC Magnetic Susceptometer for Bulk Superconductors
Gil Nonato C. Santos
Physics Department
An AC magnetic susceptometer was fabricated using the Labjack data acquisition and locally-available materials. The instrument was developed in particular for superconductor bulk materials with Tc’s of 70 K and above. The sample holder with an inner diameter at 1.3 cm and a height of 1.2 cm was made from hard plastic to ensure non-breakage when submerged in liquid nitrogen. Five standard superconductor samples were loaded at the fabricated sample holder with size 1.3 cm in diameter and 0.2 cm in thickness.
The study used five samples to ensure an adequate magnetic field signal. Based on the height of the number of samples, the number of turns was established at 260 turns, which has a resistance of 50 ohms, using a copper wire gauge #38. A thermocouple wire of type K was inserted above the sample holder’s cap to measure the sample’s temperature in millivolts. Both the susceptibility probe and the thermocouple were connected to the Labjack data acquisition system for real time measurements of the induced voltage and temperature in millivolts. Using Microsoft Excel, calculations and graphing of resistance versus temperature and Susceptibility ( ) versus temperature were obtained by varying the attenuation of the Signal generator from 30 to 50-db. Results show that at 50-db, a Tc of 112 K was obtained, comparable to the standard Tc of 110 K.
Environmental Sustainability Practices in Selected Institutions of Higher Education in Metropolitan Manila and Vicinity
Jose Santos R. Carandang VI
Biology Department
A study of the environmental sustainability practices in selected institutions of higher education in the Philippines was conducted from May 25, 2000 to July 27, 2001. The ten institutions invited to participate were: 1) Adamson University, 2) Ateneo de Manila University, 3) De La Salle University-Manila, 4) De La Salle University-College of St. Benilde, 5) De La Salle University-Dasmariñas, 6) Miriam College, 7) St. Scholastica’s College, 8) Philippine Women’s University, 9) University of the Philippines-Los Baños, and 10) University of Santo Tomas. These institutions are all members of the Philippine Association of Tertiary Level Educational Institutions in Environmental Education and Management (PATLEPAM).
The project consisted of three phases: 1) Preliminary Phase; 2) Environmental Assessment and “Best Practices” Phase; and 3) Dissemination of Results and Action Plan Phase.
During the preliminary phase, the first workshop, hosted by the University of Santo Tomas on May 25, 2000, was convened to discuss the objectives and purpose of the project. Here, the investigator and his collaborator, Dr. Robert Taylor of Montclair State University, discussed the rationale and the objectives of the study. The group decided to use the “Campus Sustainability Indicators Snapshot and Guide” Dr. Taylor had prepared as the survey instrument for the project.
Right after the first workshop, the project moved towards the second phase, the Environmental Assessment and the “Best Practices” Phase. During the next six months, the coordinators of each participating campus were tasked to conduct an assessment of the sustainability practices in their own institutions and to identify the best practices observed. A second workshop, hosted by Miriam College, was held on November 28, 2000. In this workshop, the campus coordinators reported the identified best practices and challenges faced by their respective institutions.
In the third phase, each campus coordinator was tasked to prepare an Action Plan on specific projects or initiatives that will be undertaken. These action plans and other items of common interest in the consortium were discussed during the third workshop hosted by Adamson University on July 27, 2001. Results of the campus self-assessment reports were also discussed.
Due to various reasons, not all of the participating institutions were able to submit a complete report. At the time of the writing of this report, only three, De La Salle University-Manila, De La Salle University-Dasmariñas, and Miriam College had been able to submit their campus self assessment report, but a total of seven institutions had been able to submit their list of “best practices.”
The results suggest that in all of the surveyed HEIs, systems are already in place for sustainable practices. Offices and their responsibilities related to issues pertaining to each of the selected indicators have been clearly identified. The implementation of programs is facilitated when the necessary administrative and academic structures are available. The best practices are more frequently reported for the more “visible” indicators (i.e. Food Service, Transportation, and Curriculum), while little attention is given to Procurement. The ranking of the other factors-New Structure/Renovations, Indoor Air Quality, Energy, Solid Waste, Landscape, and Water/Sewerage-does not vary much from each other.
Apparently, some HEIs still use sustainability as theoretical or as disconnected from reality. There are those who fail to recognize the institutional benefits that may result from pursuing sustainable development. Moreover, many also fail to recognize that the examples they set may be the most influential to the lives of the students. To attain campus sustainability, Philippine colleges and universities, including DLSU-Manila, would require careful reconsideration of campus operations and curriculum and how these two are related. Improved efficiency in our use of materials and energy is necessary to minimize the environmental impacts resulting from the operation of large multi-structured complex academic institutions and to reduce economic costs. Improving the curriculum is important to provide the students with analytical tools and practical skills necessary to solve the ever-growing ecological and population problems. Hopefully, the workshops conducted during this study had helped relay this message.
Furthermore, environmental education groups such as the PATLEPAM and the Environmental Outreach Network (EON) can continue serving as venues through which other HEIs can be encouraged to pursue sustainability goals by modeling successful initiatives and disseminating results. A follow-up study on a larger group, including HEIs from other regions of the country, can be designed to monitor specific results of the present study. These will give us a wider perspective of campus environmental sustainability in the Philippine setting.
The Complete Graphs and the Tetrahedron Algebra
Arlene A. Pascasio
Mathematics Department
Recently, Hartwig and Terwilliger defined a Lie algebra by generators and relations and called it the Tetrahedron algebra. In this story, we exhibit an action of the Tetrahedron algebra on the standard module of the complete graph on n vertices where n 3 3. This is part of a joint project with Paul Terwilliger, which aims to show that the Hamming graph supports a module structure for the Tetrahedron algebra.
Isolation, Structure, Elucidation, and Antimicrobial Assay of Secondary Metabolites from Three Philippine Medicinal Plants
Consolacion Y. Ragasa
Chemistry Department
Antimicrobial Terpenoids from Lansium domesticum
Consolacion Y. Ragasa, Pamela Labrador and John A. Rideout
The Philippine Agricultural Scientist. 89(1), 101-105, 2006
The air-dried fruit peel of Lansium domesticum Correa afforded five onoceroid triterpenes: 3b-hydroxyononera-8(26), 14-dien-21-one (1), a,g-onoceradienedione (2), lansiolic acid (3), lansionic acid (4), and lansioside C (5), while the air-dried seeds afforded (3) and germacrene D (6).
Antimicrobial tests on 1-6 gave the following results: (2) has high activity P. aeruginosa, while (1), (3), (4), and (5) have moderate activities against this microorganism. (5) and (4) have moderate and low activities against B. subtilis, respectively, while (3) and (5) have low activities against S. aureus. All the compounds tested have moderate activities against C. albicans and A. niger, and low activities against T. mentagrophytes.
Antimicrobial Compounds from Artocarpus heterophyllus
Consolacion Y. Ragasa, Karen Jorvina and John A. Rideout
Philippine Journal of Science, 133(2), 97-101, 2004
The freeze-dried unripe fruit of Artocarpus heterophyllus Lam., common name: langka, afforded cycloartenone (1), cycloartenol (2), and a diastereomeric mixture of 2,3-butanediols (3a) and (3b) in a 3:1 ratio. Antimicrobial tests on 1-3 indicated that (1) has low activity against E. coli, P. aeruginosa, and T. mentagrophytes, and moderate activity against C. albicans and A. niger. It is inactive against S. aureus and B. subtilis. (2) has no antibacterial activity and low antifungal activity. The diastereomeric mixture of (3) exhibited high activity against P. aeruginosa, moderate activity against C. albicans, and low activity against S. aureus, T. mentagrophytes and A. niger. (3) has the same activity as the standard antibiotic against P. aeruginosa.
Triterpenoids from Chrysanthemum morifolium
Consolacion Y. Ragasa, Floren Tiu and John A. Rideout
Asian Coordinating Group for Chemistry Chemical Research Communications
18, 11-17, 2005
The flowers of Chrysanthemum morifolium afforded mixtures of the C-3 palmitate and myristate esters (3:2) of maniladiol (1), the C-3 palmitate and myristate esters (3:2) of heliantriol C (2),s and fatty acid esters (1:1) faradiol (3) and arnidiol (4). The structures of (1) and (2) were elucidated by extensive 1D and 2D NMR analyses and MS, while (3) and (4) were identified by comparison of their 1H NMR spectral data with those found in the literature. Traces of the stearate esters of (1) and (2) were also detected by MS. Antimicrobial tests indicated that (1) has moderate activity against Aspergillus niger and Pseudomonas aeruginosa, low activity against Trichophyton mentagrophytes, Candida albicans, and Bacillus subtilis, and inactive against Staphylococcus aureus and Escherichia coli. Compound (2) has moderate activity against A. niger, and low activity against P. aeruginosa and S. aureus; it is inactive against B. subtilis and E. coli.
Synthesis and Characterization of a New Conducting Polymer µ-cyano 1,2-Naphthalocyaninato Cobalt (III)
Elaine N. Tolentino
Eduardo Gacho
Chemistry Department
Evidence for the synthesis of the CN-bridged 1,2-NcCo species is presented in this paper as shown by IR and Mass Spectrometry. Additional confirmation of the existence of the CN-bridged moiety is the generation of the mixed-ligand species 1,2NcCo(CN) (pyridine) as verified by the mass spectra. The undoped oligomer exhibits semiconducting property with room temperature pellet conductivity of x10-6 s/cm, which is about 5 orders of magnitude higher than the corresponding monomer, 10-11 s/cm.
SY 2004-2005
COLLEGE OF BUSINESS AND ECONOMICS
An Exploratory Research on the Implementation of Activity-Based Costing (ABC) Techniques
in Selected Firms in the Philippines
Marivic V. Manalo
Accountancy Department
Activity-Based Costing (ABC) is a management accounting tool used to guide the strategy formulations of a company. In the Philippines, only a handful of companies have adopted ABC as a tool in their strategy formulations. Most of the companies employ ABC in their pilot implementation.
Relative to other advanced countries like the United States, little is known about the implementation of activity-based costing in the Philippines. This research focused on the implementation of ABC in various companies in the Philippines. The study was limited to how ABC was implemented, what benefits were derived, and what problems were encountered in using the system. The results of the interview conducted revealed that of the companies included in the sample, 59% use ABC as a parallel system to other costing systems, while the remaining 41% use ABC as the main costing system. Most of the companies included in the study implemented ABC on a gradual basis, i.e., piloting first with a department (e.g., production) then weighing the benefits that may be derived from the adoption of the new system versus the cost incurred in the implementation of such changes in the costing technique.
ABC techniques helped companies in determining accurate product or service cost. ABC also identified processes that should be improved and the products or services that contributed the most to the company’s profitability. It also helped in pinpointing which factors contributed most to cost, and which assisted management in choosing the best alternative in reducing overall costs incurred by the company. As such, ABC can be the best tool in implementing environmental accounting at the firm level.
However, many companies find it difficult to fully implement ABC because of the demands of the clients, customers, or even suppliers with whom business is transacted. They also complain about employees’ resistance to the changes that are required in the adoption of ABC. With these restrictions, companies using ABC could not fully implement it in all their operations.
In the ever-changing globally-competitive world of business, companies need to discover and implement new techniques in order to be more productive, efficient, and profitable. This will enable them to have a competitive advantage over other companies. But like all other innovations, careful analysis must be made before shifting to new methods and techniques. Companies contemplating much-needed change in their costing procedures must make a thorough and careful analysis of both costing systems. The benefits in shifting from one technique to another must be greater than the costs that will be incurred in the long run.
In conclusion, adopting the ABC technique improves the overall operation of a company to a certain extent. As with any new concept, there are bound to be growing pains and a learning curve. Most of the companies included in this research realized that the new system should be given time for acceptance and understanding. Change is not something that people readily accept. Companies are learning that they must be willing to allow their objectives to grow as their understanding of the possibilities brought about by the use of ABC techniques grows, and to make modifications where needed.
Entrepreneurial Characteristics of Women Microentrepreneurs in Paliparan, Dasmariñas, Cavite
Gloria S. Chavez
Business Management Department
Using a descriptive, correlational, and case research design, a survey was conducted among 97 women microentrepreneurs who were partners of the Caucus on Poverty Reduction-Business Skills Development Resource Center (CPR-BSDRC) at Paliparan, Dasmariñas, Cavite. The objective of the study is to find out if there are predominant entrepreneurial characteristics among the women. The statistical tools used for analysis of the data included means and percentages to describe the profile of the women microentrepreneurs and one-way ANOVA to describe the relationships among the variables. The findings revealed that the predominant entrepreneurial characteristic among the women microentrepreneurs is achievement orientation.
Based on the findings, the following recommendations were forwarded:
1) Government agencies involved in poverty alleviation efforts can use the findings of this study as a take-off point in setting-up microfinance projects to enhance the earning capabilities of women in poor communities;
2) The findings of this study can be used by academic institutions involved in entrepreneurial development as an empirically-based discussion of entrepreneurial characteristics;
3) Nongovernment organizations (NGOs) and people’s organizations (POs) involved in microfinance or microcredit can replicate this study to find out what entrepreneurial characteristics are dominant in their communities;
4) Further studies can be conducted by those interested in contributing to the field of entrepreneurship and gender studies;
5) CPR-BSDRC can develop a training program to further enhance the achievement orientation of their partners in microfinance projects. Moreover, other training modules could be prepared to develop the risk-taking and innovative capabilities of their partners’ entrepreneurial characteristics because these are urgently needed by enterprises as they face the threat of globalization;
6)Government agencies and people’s organizations involved in poverty alleviation projects could conduct similar researches involving their projects to provide for the baseline data needed to fight poverty through entrepreneurship.
A World Bank report states that “there has been a slow progress in the poverty reduction efforts in the country due to, among other factors, the lack of participation of poverty stricken groups in the design and implementation of anti-poverty responses.” Studies in microenterprises, microfinance, and profiling the poor are most welcome, for only in so doing can solutions be found with the help of those directly involved in the problem.
A Gender-based Analysis of Performance of Small and Medium Printing Firms in Metro Manila
Milagros F. Malaya
Business Management Department
Increasing the participation of women in entrepreneurship is critical to a country’s long-term economic growth. This conclusion was drawn from the ground breaking research conducted worldwide by the Global Entrepreneurship Monitor (GEM, 2000). To support women currently in business and encourage more women to start their own businesses, there is a need to expand baseline information about female entrepreneurs. This study, therefore, attempted to answer some of the questions raised about women and their businesses.
The research objectives were to present a comparative analysis of the performance of male-owned and female-owned businesses using a multidimensional framework of entrepreneurial success, and to investigate the extent of influence of selected factors (i.e., management style and strategies) on their success. The success indicators refer to the financial, non-financial, and personal goals indicated in the literature as being important to entrepreneurs.
Data for the study were obtained from member companies of the Printing Industries Association of the Philippines, Inc. (PIAP). The descriptive, relational, and causal designs were employed with the following statistical tools: percentage distributions, summary statistics (mean, median, standard deviation), t-test for mean differences, multiple linear regression modeling, and the ANOVA (analysis of variance) interaction graphs.
The major findings indicated that in the printing services sector:
- Following global trends, there are no significant disparities between male and female owners in terms of their individual characteristics and the firm’s attributes.
- On the primary variable of the firm’s financial performance (measured as sales, net performance, and change in assets), while no empirical support was found for gender influence on the short-term scale (2003), there appears to be a basis for gender difference over the longer time period of three years, which supports the “female underperformance hypothesis” (Du Rietz and Henrekson, 2000).
- The results of the ratings on success indicators concur with the literature review that both sexes value financial and non-financial success, but attending to personal goals is more important to women.
- Comparing the genders, usage of each management style is practically the same except that the directive style is employed by more women, and the participative style is employed by more men.
- Variations attributed to gender are found in strategies used in the company’s daily operations, specifically in practices dealing with job policies and procedures, employee’s benefits, labor relations, pricing policies, product/service issues, credit, financial control, and growth aspirations.
- Data analysis does not support the contention that the firm’s financial performance could be related to people-oriented management styles (referring to participative, developing, delegating). Higher performance is observed in using the negotiating management style; poorer performance is indicated for the developing style.
- Factors significantly affecting the firm’s financial performance are: age and birth order of the entrepreneur, work and business background, size and age of the firm, risk-taking propensity, management style, training of supervisors/employees, performance evaluation of supervisors, pricing policies, promotional tools, bank loans, and investment plans for growth.
- Interaction effects are detected, signifying that gender moderated the relationship between the firm’s financial performance and each of the management factors: risk-taking propensity, training of workers, performance evaluation, product/service issues, primary promotional tools, financial control, and investment plans for growth. This indicates that while there are no direct effects of gender on short-term financial performance, gender, nevertheless, exerts an indirect influence through its effects on the management factors, with significant impact on performance.
The findings strongly suggest that certain differences between male and female business owners may be more fundamental in nature, and a feminist perspective is warranted in order to evaluate appropriately the performance of female-owned businesses.
Ang Istruktura at mga Pagbabago sa Yamang-Tao ng Hukbong Paggawa ng mga Industriya ng Pilipinas: Implikasyon sa Produktibidad at Pagkakompetitibo
Tereso S. Tullao, Jr.
Economics Department
Malawak ang papel na ginagampanan ng yamang-tao bilang mahalagang sangkap sa proseso ng produksyon. Ang papel na ito ay naging daan upang siyasatin ang produktibidad ng mga sangkap na maaaring magpaliwanag sa bilis ng paglaking ekonomiko. Maging ang pagiging kompetitibo ng mga bansa ay itinuturo sa pagkakaiba sa antas ng yamang-tao nito. Maraming pag-aaral ang nagpapatunay sa importansyang ginagampanan ng yamang-tao sa pagpapasulong ng isang bansa. Ang problemang konseptwal at empirikal ay kung paano susukatin ang yamang ito. Maraming alternatibong pamamaraan ang ginagamit sa pagsukat nito.
Ang pangunahing problema ng pananaliksik ay tukuyin kung may makabuluhang pagbabago sa istruktura ng yamang-tao sa hukbong paggawa sa iba’t ibang industriya sa Pilipinas sa paglipas ng panahon. Ang ikalawang problema ng pananaliksik ay tukuyin kung may epekto ang mga pagbabago ng yamang-tao sa produktibidad ng mga industriya at pagiging kompetitibo ng mga ito.
Ang production function o relasyon ng nabuong produkto at ginagamit na produktibong sangkap ay maaaring ihayag sa sumusunod na ekweysyon:
Q it = f (A it, it L it , K it )
Ang it Q ay ang nabuong produkto ng ika-i na kompanya sa taong t, ang it L ay ang paggawang sangkap ng ika-i na kompanya sa taong t, it K ay ang istak ng kapital ng ika-i kompanya sa taong t, at ang it A ay ang sangkap ng kaalaman o ang pagiging epektibo ng paggawa ng ika-i na kompanya sa taong t. Ipinagpapalagay ng modelo ng produksyon na ang mga kundisyong positibo ang karagdagang produktibibad ng mga sangkap ( ) 0 f ´ > L , at negatibo naman ang bilis ng pagbabago ng karagdagang produktibidad ng mga sangkap, ( ) 0 f ” < L ay nangyayari.
Ang production function ayon sa modelo ni Solow ay maaari ding gamitin sa ating pagsusuri. Tulad ng isang production function ayon sa Cobb-Douglas na modelo, ang relasyon ng nabuong produkto at mga produktibong sangkap ay ipinakikita sa ekweysyon (1)
Q it = f (A it, it L it , K it )
Ang mga depinisyon ng mga varyabol sa ekweysyon (1) ay katulad din ng mga nabanggit sa unahan maliban sa varyabol na Ait. Ang Ait ay ang kabuuang istak ng yamang-tao ng ika-i na kompanya sa taong t. Kung hahatiin ang mga varyabol sa ekweysyon (1) ng varyabol Lit, ang production function ay nauuwi sa pagpapaliwanag kung papaano nagbabago ang produktibidad ng paggawa. Ang production function ayon kay Solow ay ipinakikita sa ekweysyon (2):
qit = f (ait, kit)
Ang qit ay ang nabuong produkto ng bawat paggawa ng ika-i na kompanya sa taong t. Ito rin ay matatawag natin bilang produktibidad ng paggawa ng ika-i na kompanya sa taong t. Ang ait ay ang indeks ng yamang-tao ng ika-i na industriya sa taong t. Ito ay sinusukat bilang avereyds na taong tinapos na pag-aaral ng isang ordinaryong manggagawa sa bawat kompanya. Ang kit ay ang ratio ng kapital sa paggawa o ang istak ng kapital sa bawat paggawa sa ika-i na kompanya sa taong t. Ipinagpapalagay din ng modelo na ang f’ (…) >0 at ang f”(…) <0 ay nasusunod. Ang modelong nabanggit ay maaaring sukatin sa pamamagitan ng ekweysyon (3):
ln qit = 0 + 1 it a ln + 2 it k ln + it v
ln qit = ang natural logarithm ng nabuong produkto bawat manggagawa; ln ait = ang natural logarithm ng indeks ng yamang-tao sa ika-i industriya sa taong t; ln kit = ang natural logarithm ng ratio ng capital sa paggawa ng ika-i na industriya sa taong t; vit = mga ingay 2 1 0 ; = mga koepisyenteng susukatin. Ang mga datos ay hango sa ulat ng ika-apat na kwarter ng Labor Force Survey ng National Statistics Office (NSO) mula noong 1988 hanggang 1998. Kinuha mula sa mga taunang survey na ito ang antas ng edukasyon at iba pang katangian (edad at kasarian) ng mga manggagawa sa iba’t ibang pangunahing industriya sa buong bansa at iba’t ibang rehiyon ayon sa survey noong 1988 at 1998.
Sa pagtatantiya ng ekweysyon ng produktibidad ng mga industriya, kakailanganin ang datos sa produksyon o awtput, istak ng kapital, at paggawa. Ang produksyon ng mga pangunahing industriya sa bansa ay ibinatay sa idinagdag na halaga (value added) mula sa mga ulat ng NSO. Ito ay sinukat ayon sa presyo noong 1985 upang makuha ang tunay na pagbabago sa paglipas ng panahon. Ang ginamit ay ang GDP deflator na nakabatay sa 1985.
Ang halaga ng istak ng kapital ay batay sa pangangapital ng mga industriya simula pa noong 1975 hanggang sa kasalukuyan mula sa Annual Survey of Establishments. Ang datos ay sinukat sa presyo noong 1985 upang makuha ang tunay na pagbabago sa istak ng kapital sa paglipas ng panahon. Ang ginamit na deflator ay ang GDP deflator para sa pangangapital.
Sa paglalarawan ng istruktura ng antas ng edukasyon ng hukbong paggawa, nakita natin ang antas ng natapos na pag-aaral ng mga manggagawa ayon sa edad, kasarian, at uri ng industriya.
Masasabi nating bata pa rin ang edad ng mga miyembro ng hukbong paggawa. Ang pinakamalaking bahagi ng hukbong paggawa ay nasa edad 25 – 34 taon, kahit bumaba na ang proporsyong ito sa paglipas ng mga taon. Samantala, ang pinakamababang bahagi ay nasa kategoryang 55 – 64 ang edad. Ang malaking bahagi rin ng mga manggagawang may mabababang antas ng edukasyon ay matatagpuan sa mga kategorya ng pinakabata at pinakamatandang miyembro ng hukbong paggawa. Karamihan sa mga manggagawang tapos sa kolehiyo ay nasa edad 25 – 34. Samantala, ang pinakamalaking bahagi ng mga manggagawang walang natapos na pag-aaral ay nasa edad 55 – 64 taon.
Nagbabago rin ang indeks ng yamang-tao batay sa edad. Ang edad 20 – 24 taon ay nagtala ng pinakamataas na indeks na umabot sa 9.25 taon at ang edad 55 – 64 ang nagtala naman ng pinakamababang indeks na 6.2 taon noong 1998. Kahit marami ang absolutong bilang ng mga lalaki kung ihahambing sa mga babaeng miyembro ng hukbong paggawa, tumataas naman ang absolutong bilang at proporsyon ng kababaihang pumapasok sa hukbong paggawa sa paglipas ng mga taon. Mas maraming kababaihan ang tapos sa kolehiyo kung ihahambing sa bilang ng kalalakihan. Bunga nito, higit na mataas ang antas ng indeks ng yamang-tao ng mga kababaihan kung ihahambing sa mga kalalakihan.
Kung titingnan ang istruktura ng antas ng edukasyon ng mga manggagawa ayon sa industriya, lumalabas na nagkakaiba ang mga ito sa pagitan ng mga produktibong sektor ng ekonomiya.
Malaking bahagi ng mga manggagawa sa agrikultura ay hindi tapos sa elementarya. Samantala, ang pinakamalaking bahagi ng mga manggagawa sa sektor industriyal ay tapos sa hayskul tulad ng pagmamanufaktura at tapos naman sa kolehiyo sa elektrisidad, gas, at tubig. Sa sektor ng mga serbisyo, ang pinakamalaking proporsyon ng mga manggagawa ay tapos sa hayskul, na lumilitaw sa mga industriya ng kalakalan at transportasyon; samantalang tapos naman sa kolehiyo ang lumalabas sa mga industriya ng pananalapi at serbisyong pangkomunidad.
Ang indeks ng yamang-tao sa mga industriya ay naitala noong 1998 sa antas na 8.2 taon o lagpas lamang ng ikalawang taon sa hayskul. Ito ay tumaas lamang ng 8.4 porsiyento sa loob ng labing-isang taon. Ang agrikultura ang nagtala ng pinakamababang indeks na umabot lamang 6.06 taon o tapos ng elementarya noong 1998 kahit tumaas na ito mula sa naitala noong 1988. Samantala, ang industriya ng pananalapi ang nagtala ng pinakamataas na indeks na umabot sa 11.96 taon noong 1998, ngunit bumaba na ito mula sa naitalang indeks noong 1988. Hindi iisang direksyon ang dinaanan ng indeks ng yamang-tao ng mga industriya. Kasama sa mga industriyang nagtala ng pagtaas sa indeks sa loob ng labing-isang taon ay pagmamanufactura, pagmimina, konstruksyon, kalakalan at transportasyon, samantalang bumaba naman ang indeks sa elektrisidad, gas, at tubig.
Batay sa espesipikasyon ng production function ayon sa modelong Solow, lumilitaw na mahalaga ang papel ng edukasyon sa pagpapataas ng produktibidad ng mga industriya. Ang nasukat na koepisyente ng elastisidad ng produktibidad ng paggawa sa indeks ng yamang-tao ay napakataas at lumalagpas sa 100%. Subalit dahil sa napakabagal na pagtaas ng indeks ng yamang-tao sa iba’t ibang industriya sa loob ng mahigit sa isang dekada, ang napakataas na potensyal na epekto ng edukasyon sa pagpapataas ng produktibidad ng mga industriya ay hindi maipatupad.
Makabuluhan din ang epekto ng pangangapital sa pagpapataas ng produktibidad ng mga industriya. Ayon sa nasukat na koepisyente, kahit na maaaring maghalinhinan ang kapital at paggawa sa pagbabago ng produktibidad ng mga kompanya, kinakailangang mas mabilis ang pagtaas ng pagbabago sa kapital kaysa pagbabago sa paggawa upang makuha ang makabuluhang pagbabago sa produktibidad ng paggawa sa mga industriya. Nagpapahiwatig na kailangang-kailangan ang dagdag na pangangapital sa mga industriya upang mapataas ang produktibidad.
Ang resulta ng ating pagsusuri ay sumasang-ayon sa mga pag-aaral empirikal sa ibang bansa na naghahayag na kinakailangan ang mas matinding pagpapalawak ng yamang-tao kaysa sa pagpapalawak ng istak ng kapital at paggawa upang mapabilis ang pag-unlad ng ekonomiya.
Sa harap ng globalisasyon at pagbubukas ng ating ekonomiya sa malayang kalakalang internasyonal, ang pagiging kompetitibo ng ating mga industriya ay nakasalalay sa mataas na antas ng edukasyon ng ating mga manggagawa. Tunay na nagpapataas ng produktibidad ang sangkap na ito sa proseso ng produksyon. Dahil dito, kakailanganin ang mabilis na pangangapital sa yamang-tao upang tumaas at tumingkad ang pagiging kompetitibo ng ating mga industriya nang malasap natin ang mga benepisyo ng globalisasyon.
An Analysis of the Philippines’ Interregional Market Integration for Rice
Cesar C. Rufino
Economics Department
This study examines the existence of the spatial market integration of the different pairs of regional rice markets in the Philippines. By employing modern time-series econometric techniques, the research uncovers compelling pieces of evidence of strong steady-state linkages among the various pair-wise combinations of regional rice markets, with only an insignificant segregated route. The main conclusion drawn from various inference procedures undertaken in the study is that despite the geographic segregation of regional rice markets and the fragmented and often inefficient rice distribution system, price signals and other market information are being transmitted efficiently across markets, thus negating the potential occurrence of unexploited arbitrage opportunities.
Family Business Management Learning with Technology
Ma. Andrea L. Santiago
Business Management Department
The purpose of the research was to develop course materials for Family Business Management (FABUMAN), a newly-introduced major subject in the Business Management Curriculum. More than a materials development project, however, the research focused on the aspect of innovative teaching, ensuring that the course could be taught online using the IVLE system.
At the time of its inception, there was no available textbook for Family Business Management. Most of the basic theories in the subject matter were found in several books dated 1995 and earlier. The newer books being released were topic specific. Consequently the search output was meant to present a logical and relevant approach to teaching family business management to business management students.
The output of this research is a print as well as soft copy of the course module. There are also Powerpoint presentations for each topic. The course materials present instructions on how to use the IVLE to teach the course, or the e-group, if the prospective professor has not taken the IVLE course yet. Suggested discussion questions as well as online course projects are likewise presented.
Essentially the framework used is to teach the students the basics of family dynamics. Only after there is good appreciation of the peculiarities of family relationships are the students introduced to the common issues that confront families in business-such as role and system overlaps, professionalization, compensation, governance, succession, and wealth management. They are then equipped to analyze case materials because they can distinguish the problems that emanate from family dynamics.
COLLEGE OF EDUCATION
The Content and Form of Reader-generated Questions: Implications for Independent Reading/Learning and for Teaching
Remedios Z. Miciano
Department of English and Applied Linguistics
Two classes in Developmental Reading were trained in question-formulation and were then required to ask any number and type of questions based on four texts. Three inter-raters coded the questions for their content and form. The results of the study showed the dominance of recognition or retrieval questions, suggesting the students’ proficiency in reading for details and, conversely, a deficiency in critical reading. In terms of form, although 57% of the questions were coherent and grammatical, this fact alone may not indicate a high English Language proficiency. There were also many instances of direct copying of phrases from the original text, pointing to the students’ lack of confidence or ability in summarizing and paraphrasing.
Cognitive Processes Reflected in DLSU Student Essays
Paz N. Canilao
Department of English and Applied Linguistics
Since the eighties, the teaching of writing has taken on new dimensions. Approaches in the teaching of writing used to emphasize the development of writing abilities through the application of the rules of grammar and the use of proper mechanics and of appropriate structures. Writing was then generally seen as a matter of fleshing out formulaic plans; a student wrote well if s/he filled in a frame with the necessary ideas/information. Current views on writing, however, stress the interconnectedness of writing and thinking. Many writing experts agree that writing can foster many different types of learning, especially writing that requires higher cognitive skills. The belief is that to improve the quality of writing of the students, there is a need to improve the quality of their thinking.
This study aimed to identify the types of cognitive processes that first and third year DLSU college students used in a writing task. Specifically, the study explored:
a.) the types of cognition that the students used at the sentence, paragraph, and discourse levels;
b.) the similarities/differences in the use of the cognitive types by the first and third year students;
c.) the dominant patterns of cognition in each year level; and
d.) the implications of the findings for the teaching of composition in the classroom
Linguistic cues were used as the basis for identifying the specific types of cognition students used in a writing task: focus, contracts, change, sequence (time), sequence (logic), classification, change, and addition.
The findings indicate that the academic year level had very little influence on the cognitive types that the first and third year students used in their essay. Results also indicate that the cognitive processes students used in the text tended to be more on the sentimental level (i.e. local), rather than on the discourse level (i.e. global). A major recommendation made in the study is the exploration of how writing can be better utilized to better enhance the cognitive processes of the students.
Evidentiality in Philippine English and Filipino Newspaper Editorials
Danilo T. Dayag
Department of English and Applied Linguistics
The study aimed to describe the use of evidentials in Philippine English and Filipino newspaper editorials. In particular, it attempted to answer the following questions: (1) What are the sources of information or data (evidentials) found in Philippine English and Filipino newspaper editorials? How are these sources classified? (2) How do Philippine English and Filipino editorials compare in terms of presenting evidence in newspaper editorials? and (3) How are evidentials in the editorials arranged vis-à-vis the discourse structure of the texts?
Data were taken from one month’s issues (September 21-October 19, 2002) of each of the three leading English-medium newspapers and of the three major morning tabloids circulated in the Philippines, or a total of 180 editorials (90 Philippine English and 90 Filipino editorials). The Philippine English editorials came from the following broadsheets: Philippine Daily Inquirer (PDI), Philippine Star (PS), and The Manila Times (TMT). Data for Filipino were taken from the following morning tabloids: Abante (Ab), Kabayan (Kab), and Ang Pilipino Star Ngayon (APSN).
First, it appears that in terms of the use of evidentials in Philippine newspapers, Philippine English and Filipino newspaper editorials have more similarities to one another than differences. They are similar in the aspect more frequent use of non-visual type of direct evidence than the visual type. For indirect evidentials, there is a widespread use of inferentials in newspaper editorials in both languages, compared to presumptives, perhaps in keeping with the interpretative and evaluative nature of editorials. Second, a difference is noted in the use of mediated evidence (quotatives) in the newspaper editorials in question. Third, there is no predictable pattern in terms of the discourse position of evidentials in the Philippine newspaper editorials.
Exploring the Role of Self-Regulatory Prompts in Enhancing Metacognitive Knowledge of Freshman Composition Students
Sterling M. Plata
Department of English and Applied Linguistics
This study focused on Freshman Composition students’ retrospection in their journals to ascertain the role of a three-stage model of self-regulatory prompts in enhancing metacognitive knowledge. A total of forty-seven journals were collected from two intact classes composed of twenty-two liberal arts and twenty-five engineering students. Qualitative and quantitative methods were employed to obtain a detailed description of the participants’ metacognition. The findings suggest that giving students prompts that reflect a self-regulated cycle can increase their understanding of themselves as learners as well as their understanding of internal and external factors that spell their success or failure in class. Moreover, the results indicate that the prompts not only give students the experience of minding their own thinking, but also make them aware of the depth and breadth of their learning experience.
Supervision of Instruction: The Philippine Perspective
Adelaida L. Bago
Educational Leadership & Management Department
Supervision is a dynamic process that involves many dimensions. It is this dynamism and multi-dimensionality that make it not only desirable, but more importantly, an imperative in education, which is an open dynamic system. Open dynamic systems are very vulnerable to changes in the environment. Thus, they need to be continuously revitalized in order to ensure their growth and progress as well as relevance in a changing world. Supervision can facilitate this continuous renewal that can in turn cause the transformation and evolution of educational systems that will further validate their importance to society. The book attempted to capture this dynamism as it explores the multi-fold dimensions of supervision that enables education to respond to the changing times.
Adequate and enlightened supervision provides the indispensable link between good teaching and student learning. It offers the necessary assistance for the teacher to grow and develop in the profession as well as gain self-confidence in their teaching, which can ultimately cause students to learn optimally-the raison d’etre of education.
Research on effective schools has unequivocally pointed to strong instructional enlightened leadership as the number one indicator, and perhaps the most crucial one, of effectiveness. A strong and visionary instructional leader will make sure that all the other correlates of effectiveness such as clear vision, safe environment, constant evaluation, healthy home-school relationship, and attention to time-on-task, among others, are all in place.
This is the main thesis of the book: school effectiveness is a function of a strong and enlightened instructional leadership, a crucial all-encompassing dimension of supervision. But instructional leadership requires knowledge and skills that can be learned and developed as well as traits of a leader that can also be fine tuned. More importantly, enlightened leadership demands appropriate and creative responses to the changing needs (emotional, intellectual, physical, spiritual, etc.) of the academic community in order for the latter to perform their tasks in accordance with the mission of the school and the expectations of the community it serves.
The book is divided into seven chapters. The first chapter focuses on the changing concept of supervision and its impact on the leadership behavior of the supervisors. Chapter Two discusses the conceptual framework of supervision, which involves the different dimensions of the process, which may be classified under off-class or in-class categories. The four succeeding chapters deal with these different in-class or off-class dimensions of supervision: supervision of instruction, evaluation, staff development, and organizational structure. The sixth chapter focuses on legal concerns in supervision, which often constrain effective supervision due to the leader’s lack of knowledge. The last chapter is on the organizational structure of supervision for both the public and the private sectors in the Philippines.
Whenever applicable, the discussion of the various dimensions of supervision in the different chapters are made concrete with data based on practices in the Philippines.
An Evaluation of the DLSU Adapted Physical Education Program Using the A-B-C-D Model
Dafrosa Y. Zagala
Virgilia T. Calabio
Physical Education Department
The research was conducted to evaluate the status of the DLSU Adapted Physical Education Program. Using the A-B-C-D Model of evaluation as conceived by Dr. Jesus A. Ochave of PNU, the research was undertaken to determine the discrepancy between the intents and actualities of the DLSU Adapted Physical Education Program.
Specifically, the components examined were the intended and actual students, the intended and actual goals and objectives, the intended and actual program of activities, facilities, supplies and equipment. It examined the consistency and difference of the components of the DLSU Adapted Physical Education Program.
A sample size of students was taken along with the Chair of the Physical Education Department and Adapted Physical Education Instructor/Professor. Data collection instruments included:
1.Rating scale, in the form of questionnaires for Physical Education Instructor/Professor, Physical Education Chair, and students;
2.Informal interviews;
3.Formal and informal observation;
4.Ocular survey to inspect the condition of the facilities.
The Difference Between the Performance of DLSU PE Students (SY2001-2002) in a 1000M/Walk-Run and 400M/Water Walk-Run
Elizabeth D. Mascardo
Physical Education Department
Movement is an essential factor in one’s life. However, movement often causes injuries, especially if the individual does not live an active lifestyle (i.e., engaging in sports). This leads to a decreased functional capacity.
In order to address one’s sedentary lifestyle, exercise programs are designed. Running, for example, is the most natural and common way of exercise to improve a person’s fitness and improve his/her performance and functional capabilities. Because of this principle, the De La Salle University-Manila PE Department requires PE students to carry out a 1000-M walk-run and to fulfill the battery test for the cardio-respiratory endurance fitness test. However, because some persons cannot tolerate running due to certain injuries, an alternative exercise program called water running or a 400-M/water walk-run has been developed.
This study presented a quantitative research on the differences in the performance of DLSU PE students (SY 2001-2002) in a 1000-M/walk-run and 400-M/water walk-run. Different measures were considered, such as heart rates of the participant while resting, training heart rates, recovery heart rate, time of completion, gender, and age.
Data were collected from eighty participants who underwent both the 1000-M/walk-run and 400-M/ water walk-run during the first and second week, respectively, of their PE classes. Results showed that there are significant differences between the 1000-M/walk-run and 400-M/water walk-run based on recovery heart rate, training heart rate, and time of completion. The 400-M/water walk-run follows the same range of motion as running on land, but the presence of water eliminates the impact during land-based running, thus helping lower the heart rate. The results, based on the time of completion, show that water running is significantly different from running on land. An individual running on land for twelve minutes can cover approximately double the distance hurdled by another who is running in water for the same period of time. However, there were no significant differences between the two exercises based on the age and gender of the students.
The findings imply that because water running is a non-impact activity, it can be an alternative exercise program for students who are recovering from impact-related injuries. Water can also serve as venue for measuring cardio-respiratory endurance.
Concerns, Issues, and Coping Strategies of DLSU Students: Implications for Counseling Programs
Carmelita P. Pabiton
Counseling and Educational Psychology Department
This research explored the different concerns, issues, and coping strategies of students in De La Salle University-Manila. The 735 first to fourth year students across six colleges were asked to list as many concerns and issues as they experienced within the last twelve months and how they dealt with these concerns and issues. The results of this study indicate that the respondents’ common concerns and issues were along academic, personal-social, personal-health, family, career, financial, and cultural-environmental domains. In terms of strategies used to cope with these concerns, majority of the respondents noted that they sought help/advice from their significant others, did something positive to address their concerns, tried thinking positively, and some did nothing about their problems. Implications for counseling programs for university students are also discussed.
COLLEGE OF ENGINEERING
Activity of Metal Oxide Supported on Activated Carbon During Adsorption-Oxidation of Volatile Organic Compound
Susan M. Gallardo
Chemical Engineering Department
In this report, the adsorption-oxidation activities of the prepared catalysts and their surface characteristics were investigated. The catalysts prepared by incipient wetness method consist of cerium oxide supported on activated carbon. 3, 5, 10, 15, and 20 weight percent CeO2/AC were prepared. Xylene was chosen as a representative volatile organic compound. The optimum loading of cerium oxide in the adsorption-oxidation of xylene was obtained in the study.
The activity tests were done using a flow reactor system equipped with a gas chromatography apparatus. The percent conversion of xylene, the selectivity to carbon dioxide over carbon monoxide and the yield of carbon were used to measure the catalysts’ activity. Surface characterization of the catalysts consisted of Scanning Electron Microscopy, electron Diffraction X-ray, surface area, and pore size measurements.
EDX analysis shows that impregnation of the ceria on the activated carbon at various loading was successful. Also, impurities like Si, Cu, S and K are present in the activated carbon. Surface characterization of the catalysts shows that in increasing ceria loading, surface area decreases. This trend is also true for the pore volume. The pore diameter, as expected, remains essentially the same.
Results of activities tests show that optimum loading of CeO2 is 10% on activated carbon. At low temperature range of 500C to 1000C, xylene is adsorbed with xylene conversion of 35% while at higher temperatures of 1000C to 2500C, xylene is oxidized by the ceria with xylene reduction of 35%. Selectivity to CO2 over CO is 100% while CO2 yield at 2000C is 5 moles CO2 per mole of xylene feed and at 2500C is 6 moles CO2 per mole of xylene feed.
Results of the study are significant to the further improvement of activated carbon used as adsorbent and support material. At the same time, addition of other oxidation catalysts may be used together with the optimum ceria loading.
Understanding 2D Structural Analysis: Learning Modules in the Modeling and Analysis of Framed Structures Using GRASP
Andres Winston C. Oreta
Civil Engineering Department
An exploratory type of instructional and learning material consisting of ten modules about modeling and analysis of framed structures in 2D is presented. Each module focuses on a specific issue on structural modeling and analysis which is discussed with the aid of graphical and tabular results obtained from the 2D structural analysis software, GRASP. The set of learning modules is not a substitute for a textbook on structural analysis; the student must refer to the textbooks for definitions, equations, and techniques.
Each chapter begins with background information and a case study. The student explores the issues raised in the case study through the activities (“Things to Do”) or by simply observing and analyzing the “Observation” and graphical and tabular results presented in the module. Included in the modules are exercises (“Things to Try”) and comments on the analysis and design of structures (“Things to Ponder”).
Using the set of learning modules, the student, with the aid of structural analysis software like GRASP, discovers important insights on the response and behavior of structures due to variations in the parameters of the model configurations of the structures, changes in member and material properties, and changes in the restraint and loading conditions. Through the graphical results, the student can visualize the phenomena, which thus accelerates his/her understanding of concepts through the experience of seeing and interpreting solutions to various structural modeling and analysis problems. The implication and relevance of the case study to the safe and reliable design of structures are also discussed. Each chapter ends with a set of references and reading materials related to the issue presented in the module. Since GRASP provides direct feedback graphically and numerically, students can explore and have fun by simple modification of the configuration of the structural model or loading condition and expand their knowledge and understanding of modeling, analysis, and design of framed structures.
Coal Combustion Waste from Pagbilao Coal-Fired Thermal Power Plant as Partial/Full Replacement of Fine Aggregates in Concrete Mixes
Ronaldo S. Gallardo
Joseph S. Remigio
Civil Engineering Department
The cost of basic construction materials such as cement, ordinary sand, and gravel has steadily risen over the years. In time, the production of these materials will slow down as their sources are gradually depleted. Thus, industrialized countries have studied and introduced industrial waste as an alternative material. Tapping this undesirable and unused industrial waste can solve some of the country’s environmental and solid waste disposal problems.
This research explored the use of bottom ash, an available by-product from any coal-fired power plant, as a fine aggregate substitute in the mix design of concrete. The bottom ash used specifically for this study came from the Pagbilao Power Station in Quezon Province.
The ash was subjected to several tests to determine its composition and properties. Afterwards, the ash was used in several mix designs to determine the best design mix that could reach the targeted comprehensive strength of 20.7 MPa and the corresponding tensile stress capacity. The manner of substitution of the sand by the ash was made from 0% to 100% ash, in intervals of 20%. Furthermore, these trends were integrated into four different water-cement ratios: 0.69, 0.61, 0.54, and 0.47.
Assessment of Air Quality in Air-conditioned Buildings and Urban Buses
Manuel C. Belino
Mechanical Engineering Department
A.Assessment of Chemical Contaminants and Particulate Matter and Improvement of Air Quality in Air-Conditioned Urban Buses
This study assessed the quality of air in air-conditioned urban buses, and recommended interventions to improve it. Specifically, the study assessed the concentration of air contaminants in air-conditioned urban buses. The air contaminants assessed included both particulate matter (dust and carbon soot) and gases such as volatile organic compounds (VOCs), carbon monoxide (CO), carbon dioxide (CO2), sulfur dioxides (SO2), and nitrogen dioxides (NO2).
Based on Canadian indoor air quality standards, the analyses of the concentration of chemical contaminants found inside the buses yielded the following results:
- CO and CO2 concentrations were at acceptable levels.
- NO2, SO2, and benzene concentrations exceeded the acceptable levels.
- There was no trace of toluene in all samples collected.
- There was a decrease in the density of particulate matter after installation of a filter pad in the evaporator section of the air-conditioning system of the bus.
- There was a decrease in the level of concentration of chemical contaminants after the installation of an activated-carbon filter in the evaporator section of the air-conditioning system of the bus.
B.Assessment of Indoor Air Quality of De La Salle University-Manila Library Building
The possibility of a higher concentration of air contaminants in air-conditioned buildings than in the outside environment is not remote. These contaminants pose health problems such as respiratory ailments (colds, cough, pneumonitis, asthma and allergic rhinitis, eye irritation and skin allergies) to the building occupants. Air-conditioned buildings, therefore, should not only provide a comfortable environment but also a healthy environment. Providing such an environment requires assessment and improvement of air quality.
This research investigated the air quality of De La Salle University (DLSU) – Manila library building. The probe included an assessment of chemical contaminants and particulate matter, and a survey of indoor air quality (IAQ) health-related problems of the building occupants. Recommendations on how to improve the quality of air in such a building were also presented.
Comparing the concentration of contaminants found in the library building yielded the following results:
- The concentration of carbon dioxide and the ventilation rate are within the allowable limit.
- The concentration of carbon dioxide (CO2) in all areas of the library was below the maximum permissible concentration of 3500 ppm.
- No trace of carbon monoxide (CO) was found in the library.
- Except for the first measurements of NO2 in the circulation area which registered 0.5 ppm, the concentration of NO2 was also zero.
- The concentration of sulfur dioxide (SO2) exceeded the standard, registering the highest level of 5 ppm and lowest level of 3 ppm.
- The concentration of benzene (C6H6) was registered at an alarming level-as high as 27 ppm, especially in areas near the photocopying machines.
- The concentration of toluene (C7H8) was below the maximum permissible concentration.
- The concentration of particulate matter in all areas was below the maximum permissible concentration.
Based on these findings, the following conclusions are drawn for both buses and buildings:
- The level of concentration of some air contaminants exceeded the acceptable limits.
- Mechanical interventions, such as filtration, which was used in the study, can reduce the concentration of air contaminants inside a bus.
- Frequent respiratory ailments contracted by the building occupants and bus passengers, such as colds, headache, and skin irritation are related to health problems posed by poor indoor air quality.
An Environmental Life Cycle Assessment of a Locally-Designed and Fabricated Automated Windmill for Power Generation
Alvin B. Culaba
Edwin J. Calilung
Mechanical Engineering Department
This study presents a life cycle assessment (LCA) study of a wind energy project developed at the Sustainable Technology Laboratory of De La Salle University-Manila. The current system is designed to improve the stability and reliability of conventional bladed designs. It incorporates an automated control mechanism to maximize wind energy conversion and a hydraulic mechanism that facilitates control of structure stability during bad weather conditions. This translates into an actual power output of 2.5kW based on overall turbine efficiency of 45%.
The evaluation of the environmental impacts was done on the system life cycle covering production, operation and maintenance, and disposal. An Excel program was developed to determine the effect of the design parameters, materials use, fabrication processes, operational changes, and parts replacement to the overall environmental impact. Disposal of the system was also considered but eventually found to be negligible because most of the system components used are recyclable. Environmental outputs considered were categorized according to their contribution to resource depletion, greenhouse effect depletion, toxicity, photochemical oxidation, acidification, nitrification, and energy consumption. Results showed high impact values in the areas of greenhouse effect and toxicity due to the wide use of metal parts and significant oil usage for lubrication. Two scenarios were developed to demonstrate that changes in materials used in fabricating the system could have a significant impact on the environment.
Computer-Aided Design of a Low Head Axial-Flow Pump
Alvin Y. Chua
Mechanical Engineering Department
When high-volume and low-head pumps are required, Axial pumps have many applications, such as in irrigation, prawn farming, etc. Without knowledge of the design and construction of axial pumps, end-users make do with off-the-shelf centrifugal pumps that consume a lot of power when applied to low head and high-volume applications. The design of an axial pump is still theoretically not understood in the pump manufacturing industry. The available references do not provide a simple and straightforward design procedure of axial pumps. Thus, the objective of this study is to clarify the theoretical formula and provide a relatively simple and new procedure of designing welded axial-flow pumps.
Since the manual computation of formulas and the use of tables and charts in the design of pumps are time-consuming, the study presents an axial pump design software that computes for the necessary specifications of a pump for a given design criteria. This leads to the fast design process, and even enables non-pump experts to design an axial pump. The software takes into account the practical aspects of fabricating the axial pump. With the theoretical values computed, the nearest standard available parts are suggested. Standard pipe sizes are used in fabricating the axial pump hub and the casing, resulting in material cost savings and reduced fabrication time. Moreover, the spacings between the diameters of the impeller jig fabrication are created at an interval of 25 mm (approximately one inch) to ease the technician’s work in the fabrication process.
With the development of the new axial pump design procedure and software, the values generated from the software can be compared against experimental axial pump characteristic graphs. The comparison of computer results with actual values validates the effectiveness of the design procedure.
Laboratory Investigation on the Effects of Different Design Parameters in the Performance of an Axial Flow Pump Used as Turbine
Godofredo C. Salazar
Mechanical Engineering Department
With the current program of the Philippine government to electrify all the barangays in the Philippines by 2006, development of micro-hydro potential is necessary to help attain the objective. Since low-head, high-volume potential sites are more abundant than the high-head lower volume sites, research on axial flow pump technology is vital to the rapid development of micro-hydropower potential in the Philippines.
A hydraulic laboratory test set-up was designed and fabricated and was installed beside the STRC building of De La Salle University-Manila. The set-up was retro-fitted with instrumentation such as torque meter and speed sensor to measure the power, and pressure sensors to measure the flow rates and heads. Gathered data was recorded in a Kyowa data logger connected to a personal computer. Sixteen impellers of different design parameters such as discharge vane angle, hub ratio, number of impeller vanes, and 1/t ratio or vane solidity were fabricated. Each impeller was subjected to two flow rates at different heads, and the brake power and efficiency were calculated. The point of maximum efficiency was determined in each run and the specific speeds in the turbine mode at the maximum efficiency were calculated.
Based on the results of the experiments, a maximum efficiency of 64.0% is attained using the combination of 0.45 hub ratio, 4-vane impeller, l/t ratio of 0.9, and 22.5o discharge vane angle. Similarly, a maximum efficiency of 60.6% is attained with the three-vane impeller, 0.35 hub ratio, 22.5o discharge vane angle and 1.1 l/t ratio. It can therefore be concluded that the optimum discharge vane turbine mode is 22.5. The results of the study show that the effect of the different design parameters in the performance of an axial flow pump in the pump mode is similar to the turbine mode.
Another set of tests with a full scale AFPAT prototype in the actual field condition will be undertaken. A 380 mm diameter prototype is now being installed in Bgy. Mataragan, Malibcong, Abra and a performance test using three and four-vane impellers at different l/t ratios will be conducted. A simple computer program or a nomogram to determine the correct impeller configurations for a given flow rate and head will then be developed to help prospective AFPAT manufacturers.
Genetic Algorithm Application to Constrained Optimization Problem
Elmer P. Dadios
Manufacturing Engineering and Management Department
This paper presents a new approach of genetic algorithm (GA) to solve the constrained optimization problem. In a constrained optimization problem, feasible and infeasible regions occupy the search space. The infeasible regions consist of the solutions that violate the constraint. Oftentimes, classical genetic operators generate infeasible regions of invalid chromosomes. This situation becomes worse when only infeasible chromosomes occupy the whole population.
To address this problem, dynamic and adaptive penalty functions are proposed for the GA search process. This is a novel strategy because it attempts to transform the constrained problem into an unconstrained one by penalizing the GA fitness functions dynamically and adaptively. New equations describing these functions are presented and tested. The effects of the proposed functions developed are investigated and tested using different GA parameters such as mutation and crossover. Comparisons of the performance of the proposed adaptive and dynamic penalty functions against traditional static penalty functions are presented. Results of the experiments show that the proposed functions developed are more accurate, efficient, robust, and easy to implement.
The Study of the Implementation of Teams in Semiconductor and Electronics Companies of the Philippines
Eppie E. Clark
Industrial Civil Engineering Department
The study intended to determine the effect of interpersonal relations and values of the workforce on the effective implementation of teams in the semiconductor and electronic companies. The effects of these could be noted from the performance indicators during the problematic times of the teams.
The straightforward effect of a change in the efficiency can be affected by inputs as adherence to STS principles and promoting supportive values of the workforce. Any positive effect on productivity (documented in records available) as related to these configurations by the respondents’ recall of past experiences in the field was utilized to the utmost for the analysis of the findings of the study.
Alternative Sludge Management in Recycled Paper Mills in the Philippines: Focus on Composting
Susan M. Gallardo
Civil Engineering Department
As part of ARRPET-DLSU minor issue objectives, an assessment of the sludge disposal practices of recycled paper mills in the country was conducted. A survey form was designed and distributed to thirty-four recycling paper mills. The survey included questions pertaining to the following: company information, plant operation and production, sludge treatment, disposal, and reuse/recycle method.
Eleven forms were retrieved by mail, fax, and email. However, the remaining twenty-three companies either had ceased operation or did not want to participate in the survey. The survey showed that the predominant practice of sludge disposal is land filling. Some are doing composting, land spreading, soil conditioning, and burning.
One recycled paper mill, an ARRPET-DLSU industry research partner, has started to recycle their sludge as cement bonded board and hollow blocks. Currently, the company is doing joint research with ARRPET-DLSU to apply their sludge as a raw material for composting.
Estimation of the Natural Period at Ambient Conditions of Moment-Resisting Frame (MRF) Buildings Using Neural Networks
Andres Winston C. Oreta
Civil Engineering Department
The natural period of vibration is an important dynamic property of a building because it characterizes the behavior and performance of the structure to external forces. An estimate of the fundamental period of a building is useful to a structural engineer, civil engineer, or urban disaster manager. This study illustrates the use of neural networks in estimating the period of reinforced-concrete (RC) buildings. Data from ambient vibration measurements conducted on medium- and high-rise buildings in Metro Manila were used to train a neural network. A model for estimating the period of RC moment resisting space-frame buildings and RC dual buildings that use global building parameters (i.e., the type of structural system and the height of the building) was developed and its performance was evaluated and compared with existing empirical formulas.
COLLEGE OF LIBERAL ARTS
Ethnic Transformation of a Bajau Community in Batangas City (Phase I)
Marlon D.L. Era
Behavioral Sciences Department
The research is baseline study of a Bajau community in Barangay Malitam, Batangas City. The study provides basic socio-demographic information of 104 Bajau families from Mindanao who have been in Malitam for more than ten years. The study shows that many of the cultural practices of Bajaus in Batangas have remained traditional. This is particularly true in the area of courtship, family, marriage, child rearing, religion, and settlement pattern. However, changes have been observed in some of their cultural practices, specifically in the area of education and the means of livelihood. The research utilized key informant interviews and observation. The key informants included selected Bajau leaders, a missionary pastor, a teacher, and the City Social Welfare Office staff. Available reports from the City Social Welfare and Development of Batangas were also reviewed. The study hopes to provide initial data for future research that will focus on policy formulation and program intervention for the improvement of living conditions of the Bajaus in Batangas.
The Literary History of the Philippines Project Phase 4.3: Hiligaynon Writers and the Translation of Hiligaynon Short Story into English
Genevieve L. Asenjo
Literature Department
This is the second collection for the Hiligaynon Literature anthology project under the Literary History of the Philippines Project (LIHIP) of the Department of Literature. It showcases nine stories from both senior and younger writers to represent and illustrate the growth of Hiligaynon Literature through the years, particularly in terms of themes, style, and language use. These selections were chosen from the collection Phase 4.2: Preservation of Archival Materials, which is mainly the product of field work and gathering done by Ms. Pieta Agatha Verdadero from different sources like the Hiligaynon Magazine, West Visayan anthologies such as Ani (CCP, 1989) and Patubas (NCCA, 1995), personal collections and works of Hiligaynon scholars like Dr. Regina Groyon of University of St. La Salle in Bacolod City, and the Don Carlos Palanca Foundation for the stories that have won in the Annual Palanca literary awards.
The Bikol Rawitdawit in English Translation
Paz Verdades M. Santos
Literature Department
This project on Bikol literature is a phase of the Literary History of the Philippines (LIHIP) project of the Literature Department of De La Salle University.
The selection process started by choosing only one poem per author based on 1) the proponent’s own taste and experience in teaching poetry, with the anthology serving as an effective tool for teaching courses in vernacular Philippine literature; 2) consultations with selected poets on what they considered their best work; 3) discussions with a loose group of Bikol poets called the Kabulig about the current choices, as well as on who and what to include in this would-be canon of writing in Bikol; and 4) consultations with some teachers of literature at the Ateneo de Naga and Aquinas University about the Bikol poems they personally like and those they teach.
Bikol poet and playwright Rodolfo Alano and the proponent worked on the translations without using any theory. Instead, they 1) looked at existing translations and used the well-crafted ones (e.g. “Underneath the Wharf” by Teresita Erestain); 2) borrowed those that gave the meanings of suanoy or ancient words no longer in circulation (e.g. “Just Hum to Yourself,” Lilia Realubit’s translation of “Pagaroanggoyong”); and 3) either revised/edited or came up with new ones.
Specially difficult to translate were some of the folk poems and early verses because of their fixed rhyme or meter, which had to be to approximated in the English translations. The poets were asked to comment on the translations and some of them responded by sending their own versions. In such cases, the translators deferred to them, so their own voices would be heard even in translation. Other poets who were not comfortable writing in English, or felt that it would be better for someone else to translate their work, generally approved the translators’ work.
The English translations facilitated the task of weeding out texts from the anthology in which the selections should 1) sound good, whether in Bikol or English, and 2) serve as representative texts that reflect the poems’ themes and milieus (e.g. the risqué quality of some of the folk poems, the tendency to moralize in the poems from the 1930s to the 1950s, and the attention to form and social realities in contemporary poems).
Thus, the 56-page anthology of rawitdawit with translations in English includes some folk poetry, ten early versifiers, and twenty-two contemporary poets, six of whom were not in the original lineup. New and better poems were submitted by the poets themselves, in place of earlier ones they had given. For archival purposes, also included are translations that will not be included in the final anthology.
Domain Generality and Domain Specificity of Motivation and Learning Strategies: Science High School Students Self-Regulation Profiles of Science and Social Studies
Melissa Lopez Reyes
Psychology Department
Students from two Philippine Science high schools twice completed motivation and learning strategies scales, in relation to their current science and social studies courses. The finding that a trait latent factor exists for each scale is evidence for the scales’ domain generality, while the finding that a domain latent factor exists for each scale is evidence for the scales’ domain specificity. Domain generality is further shown by the similarity across science and social studies of the relationships between motivation and learning strategies. The greater domain specificity of motivation for social studies compared to motivation for science is shown by the finding that motivation for social studies reliably predicts only social studies grades, but science reliably predicts both science and social studies grades.
Structures of Apathy and Compassion/Altruism: Alienations and Solidarities in Capitalist Societies
Ferdinand D. Dagmang
Theology and Religious Education Department
This article sets the topics of apathy and compassion against the backdrop of alienations and solidarities in industrial/post-industrial capitalism. A socio-historical analysis is employed to identify distinct behavioral and social-institutional processes and practices as well as underlying structures that determine both persons and institutions. The theories and practices of capitalism in different places and periods has produced various theories and practices of welfare that have implications for the understanding and practice of compassion/apathy and solidarities/alienations as well as those of capitalism itself. With the use of social-philosophical theories that aid in the understanding of the deeper structures of the capitalist state of affairs and processes, this study further offers a groundwork and a stage towards more developed ethical reflections on social suffering, compassion, and behavior formation today. Thus, Christian-ethical reflections may derive some principles from this analysis of compassion and apathy, which is made more intelligible to a wider public-a process that is usually beyond the Christian tradition’s sphere of influence. The article also shows how Christian ethics may rely on the indispensable mediations of various disciplines that offer both methodological approaches and substantive findings.
RELSTWO: The Church and Sacraments
Elena G. Almandrez
Theology and Religious Education Department
The project is the production of teaching materials, specifically Overhead Transparencies, for the RELSTWO Course. All in all, there are 118 transparencies, 34 of which pertain to the topic Church, 12 to the topic Liturgy, and 72 about the seven Sacraments in the Catholic Church. The teaching aids are primarily of great benefit to the TRED faculty members who are assigned to teach Church and the Sacraments and to RELSTWO students as well. They are also useful to teachers, particularly the proponent of this project, who are actively involved in the formation of cathechists and lay leaders, and to others in their pastoral involvement.
Upland Tingguian Women: Their Proposed Roles in the Peace-Making Processes and Development in the Cordillera Region (Abra)
Luis C. Sembrano
Theology and Religious Education Department
This study identifies the different causes of armed conflicts in the upper part of the Cordillera, particularly in Abra where Tingguian municipalities have been the sites of armed encounters between the NPA, CPLA, and the military. It describes the indigenous mechanisms that Tingguian women employ in resolving conflict and in coping during periods of armed encounters. Furthermore, it delineates the roles of the Tingguian women in the peace-making process and in community development.
Through a descriptive and exploratory method, the study used fieldwork, face-to-face interviews, and limited participant observation for data gathering. Ten women from the four municipalities were selected as respondents. The data were subjected to simple frequency count and qualitative data analysis, especially by noting similarities and differences.
Tingguian women unanimously agree that poverty, abuse of the environment, and failure of the government in delivering basic services are the main reasons for war and underdevelopment in their communities. As part of the population, these women do their share and use their power to improve the peace and order situation and pursue development in their areas. In times of encounters, they do various tasks, including nursing and treating the wounded, burying the dead, and initiating dialogues between the warring parties. To cope during troubled times, they keep silent, befriend the military, and spearhead the reconciliation process. However, their roles are not duly recognized because culturally speaking, policy formulation and decision making are the domains of the men. Thus, the research contends that peace and development in the Tingguian communities can be attained when the roles of the women are openly acknowledged and encouraged.
Theorizing Filipina Feminism
Mary Janet M. Arnado
Behavioral Sciences Department
In reviewing theorizing efforts on Filipina feminism by Filipino scholars published locally, nationalist feminism stands out as a dominant theme in the works of Aguilar (1994-95; 1998) and Mananzan (1987). Other Filipino feminists have written about the nature of feminism from their own political standpoints (Aquino, 1990; Quintos-Deles 1990), but there has not been any empirical attention given to examining the Filipina perspectives existing in the Philippines.
This paper attempts to explain what makes Filipina feminism distinct from its Western and other Third World counterparts, and to examine feminist visions and strategies for social change. It also traces the foundation and progressive development of the feminist movement and explores how feminists/activists grapple with gender issues in everyday life and intimate relationships.
To draw empirical data, this study utilized tape-recorded and transcribed “conversations” (later analyzed using the NUD*UST) with twenty feminists/activists in metropolitan Manila, Cebu, and Davao. The informants’ ages ranged from late twenties to mid-sixties while their educational backgrounds varied. Half of them are married and all, except four, belong to the middle class.
One notable finding of this research is the strong conviction of the feminists to make a difference not only in themselves, but also in the lives of the Filipino women. As a result of a cohesive feminist consciousness, these Filipinas espouse the elimination of patriarchy, which is viewed as a form of gender oppression rooted in class, ethnicity, and sexuality. Women’s liberation, they assert, becomes truly realized only when the sources of oppression are obliterated.
The Lovely Bienvenido N. Santos
Isagani Cruz
Literature Department
The project produced two plays for stage, one full-length and one one-act, which together paint a portrait of Bienvenido N. Santos, a Filipino-American writer who was De La Salle University’s International Writer-in-Residence after he retired from Wichita State University. The project involved field research in Wichita (where Santos left his papers) and Naga (where the Bienvenido N. Santos Museum was, at that time). The project succeeded in creating a new dramatic form, creative non-fictional drama, using theatrical techniques to tell the true story of a life lived fully and imaginatively.
Paternal Involvement of Filipino Fathers with Adolescent Sons
Alexa P. Abrenica
Psychology Department
This study fills the gaps in literature on the ways fathers carry out paternal involvement with their adolescent sons. Twenty fathers were interviewed using an interview guide constructed by the researcher. The instrument explored the adjustments and difficulties encountered by fathers in the care giving of their sons. In contrast, the reactions of adolescents to their father’s involvement with them were obtained through a focus group discussion with ten 16-year-olds from DLS-Araneta University. Responses were then content analyzed and categorized into themes.
Results showed that communicating with sons is the most common way of reaching out, and which served various purposes such as monitoring, admonition, information giving, and value formation. Other ways included assisting sons with their school work and/or personal problems; taking them out to dinner, shopping, or movies; spending time together; and attending to their personal needs.
It was found that adjustments are made in consideration of the developments at adolescence. Among these adjustments are in the ways fathers communicate with their sons. Disciplining also has to be changed from physical modes to verbal reprimand. Greater vigilance on the part of the fathers regarding their sons’ activities, as well as on their own efforts to serve as role models, is likewise emphasized. The difficulties that fathers encounter have to do with the developing personality of the adolescent son who is in transition from childhood to adulthood. Dealing with mood changes, penetrating a private world (where adults seem forbidden), handling the novelty of the experience, molding the adolescent into a better person, coping with midlife changes, and having to deal with adolescent transformations prove difficult for fathers.
The adolescent boys reacted positively to their fathers’ involvement and clamored for more opportunities to experience paternal care beyond the common responsibility of providing for the family.
A major recommendation is to replicate the study to explore paternal involvement among those in the lower socioeconomic stratum, those with limited or no education, and those coming from the rural areas in order to produce a more comprehensive picture of the Filipino father-son relationship. It is also suggested that the findings be verified by conducting a large-scale survey.
The Eschatological Vision of Matthew 24:1-31 and Its Implications for Religious Educators
Ricardo M. Puno
Theology and Religious Education Department
Despite the neglect that eschatology has suffered, the belief in the “end times” is a central doctrine of Christianity. Thus, as human beings cherish the past, take on the challenges of the present, and yearn for the fulfillment of God’s promises in the future, eschatology as hope-seeking understanding should be allowed to complement their efforts of faith and love-seeking understanding and vice-versa. But this can only be achieved if eschatology is retrieved from the margins and brought once more to the center of both theology and religious education.
This research was written with the purpose of bringing to the fore the eschatological dimension of the Christian faith, and assists fellow religious educators in their efforts to live and teach the Christian vision for the future. However, it is not the aim of this investigation to offer a comprehensive exposition on eschatology; its goal is to arrive at a better appreciation of the “end-time” doctrine as it is proposed in the First Gospel (Mt 24:1-31). In grappling with this difficult Matthean teaching, the study revolves around three fundamental problems: How is eschatology understood in the text? What are the theological themes to be inferred from Matthew’s understanding of the “end times”? What is the relevance of this biblical investigation for religious educators in the Philippine setting?
To resolve the foregoing issues, the researcher employed the historical-critical method, which, along with the other controlling elements, are taken up in Chapter One. These concerns, however, not only delineate the parameters of the study; they also determine the organization of the inquiry. Hence, by investigating the features of the First Gospel in general and its situation in life, Chapter Two situates the Matthean perspective of hope in the context of a particular environment. Chapter Three takes up the discourse itself. In this section, important terms and phrases that are essential in the overall interpretation of the text are clarified. Chapter Four investigates the relationship and arrangement of the linguistic signs employed by Matthew to express his “end-time” vision. Chapter Five concludes the study by looking into the significance of the text to Christian living as well as the relevance of the inquiry itself to professional religious educators in the Philippine setting.
The Indio Christ: Apolinario dela Cruz and his Contribution to the Filipino People’s Struggle for Freedom, 1832-1843
Luis C. Dery
History Department
The proponent undertook archival research and analysis of the contents of contemporaneous documents pertinent to Apolinario de la Cruz and his Confradia de San Jose. Among others, the following groups of archival documents were studied, from which data about the subject of research was gathered.
A.From the National Archives of the Philippines:
Apolinario de la Cruz Records
Real Audiencia Records (the Supreme Court of the Philippines during the Spanish period)
Ereccion de Pueblos-Tayabas Records
Ereccion de Pueblos-Laguna Records
Ereccion de Pueblos-Batangas Records
Varias Provincias-Tayabas Records
Varias Provincias-Laguna Records
Varias Provincias-Batangas Records
Document: 610-stanza poem entitled: Historia de la Confradia que fundo el Hermano Apolinario de la Cruz en el pueblo de Lucban trabajada y puesta en verso por mi para major estimular los corazones y amigos de todos sus hermanos o la insinuada Confradia de devoto Padre San Jose.
B.From the University of the Philippines Microfilm Library (newspaper with accounts about Hermano Pule):
El Renacimiento Filipino
La Politica de España en Filipinas
Filipinas Ante Europa
Psychopathology Among Filipinos: Culture-bound Diagnosis, Therapeutic Practices, and Prevention Measures for Mental Illness
Roberto E. Javier, Jr.
Psychology Department
This ethnographic study employed the Sikolohiyang Pilipino approach of panunuluyan, the process by which the researcher participates in the life of community. Participants in the kuwentuhan sessions were sampled purposively from natural clusters of people living either in the coastal, upland, or lowland communities in both urban and rural areas. Data in the form of stories were generated through the Sikolohiyang Pilipino method of kuwentuhan, a process of sharing of stories and telling tales about the phenomenon of mental illness in the community. These stories were gathered from the four major ethnic language groups: Ilocano, Tagalog, Bicol, and Cebuano. Transcripts and tales were qualitatively analyzed and interpreted through the meaning-making process to describe psychopathology in Philippine culture. Individuals involved in the kuwentuhan validated the meaning derived by the ethnographer through the process of feedback to the community. The participants confirmed the truthfulness and trustworthiness of interpretations of the tales and stories from the 118 narratives as well as the strands of data from the field notes.
Results reveal the people’s mental illness metaphor, its cultural meaning, and its implication to the study of cultural psychopathology. A conceptual framework on Filipino psychopathology is presented showing the spiritual and social aspects of mental illness and wellness in Philippine culture as well as the concepts of loob, bait, and sarili. Cosmic beliefs heavily influence causal explanations about madness. The spiritual worldview of the Filipino affects his concept of the nature of illness, both physical and mental. A culture-based psychodiagnosis of mental illness centers on the characterological aspect of making assessment. Traditional therapies for mental illness and prescriptions for prevention are based on Filipino folk beliefs on the causes of madness.
COLLEGE OF SCIENCE
Lead, Cadmium, and Zinc Concentrations in Selected Species of Macrobenthic Algae, Seawater, and Sediments in Brgy. Bagong Silang, Calatagan, Batangas Province
Milagros L. Relon
Biology Department
Laurencia papillosa (C. Agardh) Greville, Ulva reticulata Forsskal, Halimeda opuntia (Linn.) Lamouroux, Gracilaria manilaensis Yamamoto, and Trono and Padina minor Yamada, seawater and sediments collected from Brgy. Bagong Silang, Calatagan, Batangas Province in September 2001 to July 2002, were analyzed for their lead, cadmium, and zinc content by atomic absorption spectrophotometry.
The highest mean concentration for lead was observed in sediments (38.59 mg/kg) compared to those in the algae (0.38-28.76 ug/mL) and in seawater (0.30 mg/L). For cadmium, the mean values were 3.53 mg/kg for sediment, 0.28- 2.51ug/mL for algae, and 0.07 mg/L for seawater. For zinc, the mean values were 4.94-7.31 ug/mL for algae, 5.50 mg/kg for sediment, and 0.01 mg/L for water.
A significant linear relationship of the level of lead, cadmium, and zinc in water and sediments was observed. There was also a significant difference (p=<.0001) in the concentration of lead, cadmium, and zinc in L. papillosa (C. Agardh) Greville and U.reticulata Forsskal using one-way analysis of variance (ANOVA). The mean metal concentrations in seawater decreased in the order: Pb > Cd > Zn using Duncan’s Multiple Range Test. The mean lead concentration in sediment was significantly different (p=<.0001) from those of cadmium and zinc.
The mean lead concentrations in the algae and seawater were higher than the standards set by Codex alimentarius for food (0.2 mg/kg) and by the Environmental Management Bureau for marine water (0.05 mg/L).
The mean cadmium concentrations in H. opuntia (Linn.) Lamouroux (2.51 ug/mL), P. minor (0.72 ug/mL), and seawater (0.07 mg/L) were higher than the standards set by Codex alimentarius for food (0.5 mg/kg) and by the Environmental Management Bureau for marine water (0.01 mg/L).
The mean zinc concentration in algae was higher than the standard set by Codex alimentarius for food (0.15 mg/L).
Seawater temperature ranged from 250 to 300C, while pH ranged from 7.1 to 8.0. Salinity ranged from 18 to 38 ppt. The substrate was of sandy-rocky-coral type.
High Prevalence of Extended-Spectrum ?-Lactamase-Producing Enterobacteriaceae with Concurrent Multiple Resistance to Different Classes of Antimicrobials from Cases of a Tertiary Hospital in the Philippines
Esperanza C. Cabrera
Biology Department
Enterobacteriaceae isolates composed of Escherichia coli, Enterobacter cloacae, Enterobacter aerogenes, Klebsiella ozaenae and Klebsiella pnuemoniae from cases of the Philippine General Hospital, Manila were studied for their antimicrobial susceptibility patterns using the disc diffusion method. Among the 185 isolates, only 11% were found to be susceptible to all of the fourteen antimicrobials tested. Multiple antimicrobial resistance was shown by 90% of the non-susceptible isolates, of which 31% were resistant to ten or eleven antimicrobials, found mainly among K. pneumoniae, E. cloacae, and K. ozaenae isolates. The highest percentage of E. coli resistance was to two antimicrobials at 25% within its species. The antimicrobial activities in increasing percentage of resistant strains were: imipenem (1%), cefepime (7%), amikacin (36%), gentamicin (40%), ceftazidime (48%), ceftriaxone (48%), cefotaxime (49%), aztreonam (50%), ciprofloxacin (50%), cefuroxime (52%), netilmicin (60%), tetracycline (68%), and sulfamethoxazole trimethoprim (70%). Moreover, using the double disc synergy assay and the E-test, the prevalence of extended-spectrum b-lactamase (ESBL) producers among the non-susceptible isolates was found to be 78%, which is relatively high compared to those in other studies. All of the ESBL isolates were also resistant to other classes of antimicrobials in addition to the -lactams. Plasmids of between 16-23 kb in size, some of which were transferable by conjugation, were detected among the isolates studied. The transconjugants were converted to ESBL producers, in addition to resistance to the other groups of antimicrobials.
Results of the study underscore the urgent need for vigilant surveillance for antimicrobial resistance and strict implementation of proper antimicrobial usage.
Isolation, Structure Elucidation, and Antimicrobial Assay of Secondary Metabolites from Five Philippine Medicinal Plants
Consolacion Ragasa
Chemistry Department
The following are the abstracts of the five papers that resulted from the studies on the five medicinal plants.
The leaves of Blumea balsamifera afforded icthyothereol acetate (1) and cryptomeridiol (2), lutein, and ?-carotene. The structures of one and two were elucidated by extensive 1-D and 2-D NMR spectroscopy, while those of lutein and ?-carotene were identified by comparison with literature data. Antimicrobial tests indicated that (1) has moderate activity against the fungi Aspergillus niger, Trichophyton mentagrophytes, and Candida albicans, while (2) has low activity against A. niger, T. mentagrophytes, and C. albicans. Both compounds have no activity against Pseudomonas aeruginosa, Staphylococcus aureus, Bacillus subtilis, and Escherichia coli.
The rhizomes of Curcuma domestica afforded curcumin (1), bisacurone (2), a mixture of ar-turmerone (3), ?-turmerone (4), and a-turmerone (5), and ar-curcumyl alcohol (6). These compounds were identified by NMR spectroscopy and their spectroscopic data were compared with those reported in the literature. Antimicrobial tests on 1-6 indicated that 2-6 have moderate antifungal activity against A. niger, while 3-6 have moderate antibacterial activity against P. aeruginosa.
The freeze dried unripe fruit of Achras zapota afforded a mixture of ?-amyrin pentanoate (1a) and a-amyrin pentanoate (1b) in a 2:1 ratio, a mixture of spinasterol (2a) and taraxerol (2b) in a 2.4:1 ratio, and a fatty acid ester of oleanolic acid (3). Their structures were identified by NMR spectroscopy. 3 and sample 1 were tested for antimicrobial activity by the agar cup method. Sample 1 showed moderate activity against the fungus C. albicans and low activity against the fungi A. niger and T. mentagrophytes. 3 exhibited low activity against C. albicans and A. niger, and was inactive against T. mentagrophytes. They were inactive against the bacteria E. coli, P. aeruginosa, S. aureus, and B. subtilis.
The aerial parts of Centella asiatica afforded -farnesene (1) and neophytadiene (2). Their structures were elucidated by extensive 1D and 2D NMR spectroscopy. 2 indicated moderate antifungal activity against C. albicans and A. niger and low activity against T. mentagrophytes. It showed low antibacterial activity against E. coli and P. aeruginosa, and was inactive against S. aureus and B. subtilis.
The flowers of Brugmansia suaveolens afforded -carotene, -sitosterol, -stigmasterol, 3 -hydroxyonocera-8(26), 14-dien-21-one, and lansiolic acid by silica gel chromatography. Their structures were identified by comparison of their 1H NMR spectral data with those reported in the literature.
Unfolding Complete Graphs, Paths, and Cycles
Severino V. Gervacio
Yvette F. Lim
Mathematics Department
If two nonadjacent vertices of a graph G having a common neighbor are identified to obtain the graph H, we say that H is a 1-fold of G. We also say that G is a 1-unfold of H. For convenience, any graph G is regarded as a 0-fold of G. If k is any positive integer, we say that H is a k-fold of G if H can be obtained from G by folding G iteratively k times. Thus, a k-fold of G is a 1-fold of a (k ” 1)-fold of G. If H is a k-fold of G, we call G a k-unfold of H. The symbol F” 1 (G) denotes the set of all k-unfolds of G for k e” 0. In this paper, we investigate the sets F”1 (G), where G is a complete graph, a path, or a cycle.
Multispectral Aerosol Optical Depth Measurement in Manila (14033.978’N; 120059.523’E) Using the Middleton SPO2 Sunphotometer
Maria Cecilia D. Galvez
Physics Department
A multispectral aerosol optical depth (AOD) measurement at four discrete wavelengths (368, 500, 675, and 862 nm) was carried out at De La Salle University, Manila, Philippines (14033.978’N; 120059.523’E) using a Middleton SP02 sunphotometer along with the sun-tracking and data acquisition system specifically developed for this study. The calibration experiments utilizing the Langley method were done at the DLSU campus in Canlubang, Philippines (14015.735’N; 12102.609’E) for three Saturdays. Cloud screening was also performed on some of the data to obtain the AOD. A total of ten morning and twenty-three afternoon sessions were considered for the mean AOD calculation. The AOD for all the four wavelengths during the four successive clear days considered for April were higher in the morning compared to those in the afternoon. The daily mean AOD for March-April 2004 also showed the same trend. During this two-month period, the mean AOD in the morning for 368, 500, 675, and 862 nm ranged from 0.43 to 1.49, 0.30 to 1.06, 0.21 to 0.67, and 0.19 to 0.46, respectively. In the afternoon, the mean AOD for 368, 500, 675, and 862 nm ranged from 0.40 to 1.14, 0.20 to 0.80, 0.13 to 0.51, and 0.10 to 0.34, respectively.

